Acide galacturonique

Acide galacturonique
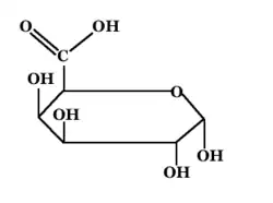
Image illustrative de l’article Acide galacturonique
Identification
Nom UICPA (2S,3R,4S,5R)-2,3,4,5-Tetrahydroxy-6-oxo-hexanoic acid
No CAS 685-73-4
No ECHA 100.035.495
No CE 211-682-6
SMILES
InChI
Propriétés chimiques
Formule C6H10O7  [Isomères]
Masse molaire[1] 194,139 4 ± 0,007 6 g/mol
C 37,12 %, H 5,19 %, O 57,69 %,

Unités du SI et CNTP, sauf indication contraire.

L'acide galacturonique est un acide uronique et un constituant de la pectine[2]. Cette dernière est responsable de la rigidité des parois des cellules végétales.

Notes et références

  1. Masse molaire calculée d’après « Atomic weights of the elements 2007 », sur www.chem.qmul.ac.uk.
  2. (en) Alphons C. J. Voragen, Claus Rolin, Beinta U. Marr, Ian Challen, Abdelwahab Riad, Rachid Lebbar, Svein Halvor Knutsen, Polysaccharides, Wiley-VCH Verlag GmbH & Co, coll. « Ullmann's Encyclopedia of Industrial Chemistry », (DOI 10.1002/14356007.a21_a25.pub2)

Voir aussi

Liens internes

Liens externes

  • icône décorative Portail de la chimie