Acide oxalyldiaminopropionique
| Acide oxalyldiaminopropionique | |
| |
| Structure de l'acide N3-oxalyl-L-2,3-diaminopropionique | |
| Identification | |
|---|---|
| Nom UICPA | 3-[(carboxycarbonyl)amino]-L-alanine |
| Synonymes |
ODAP, L-Dencichine, |
| No CAS | |
| PubChem | 440259 |
| ChEBI | 16399 |
| SMILES | |
| InChI | |
| Propriétés chimiques | |
| Formule | C5H8N2O5 [Isomères] |
| Masse molaire[1] | 176,127 4 ± 0,006 5 g/mol C 34,1 %, H 4,58 %, N 15,91 %, O 45,42 %, |
| Unités du SI et CNTP, sauf indication contraire. | |
L’acide oxalyldiaminopropionique, ou ODAP, est un analogue structurel du neurotransmetteur glutamate isolé dans la gesse commune, Lathyrus sativus. C'est une neurotoxine responsable du lathyrisme, syndrome de dégénérescence des motoneurones[2].
Sources
L'ODAP est présent dans les graines de la gesse commune (Lathyrus sativus, famille des Fabaceae), avec une teneur constante égale à 0,5 %[3].
Lathyrus sativus est une espèce de légumineuse herbacée originaire d'Europe méridionale, centrale et orientale, du bassin méditerranéen, de l'Irak et de l'Afghanistan, ainsi que d'autres zones d'Asie et d'Afrique[4].
Histoire
Dans certaines régions, dont le sous-continent indien, le Bangladesh, l'Éthiopie et le Népal, la gesse est devenue un aliment de base[4]. La plante a une tolérance élevée à des conditions environnementales difficiles, ce qui en fait parfois la seule source de nourriture disponible en période de famine ou de sécheresse. Après des périodes de sécheresse de plusieurs mois, des épidémies de neurolathyrisme peuvent survenir[5].
Le dernier exemple (en 2013) d'une telle épidémie s'est déroulé en Éthiopie pendant la sécheresse de 1995-1997[6] au cours duquel deux mille personnes ont été paralysées[4].
Effets biologiques
L'ODAP est un agoniste du récepteur glutamate AMPA[6] ionotropique[7].
Il est connu pour provoquer chez l'homme un neurolathyrisme, maladie dégénérative du motoneurone caractérisée par la dégénérescence des neurones de la moelle épinière et de la zone du cortex contrôlant les jambes, entraînant une paralysie du bas du corps[7]. On ne sait pas expliquer la façon dont l'ODAP provoque le neurolathyrisme ; cependant, on a démontré quelques effets biologiques de cette molécule. Le mécanisme d'action n'est pas tout à fait élucidé, peut être parce que, jusqu'à présent, on n'a pas trouvé un bon modèle animal des effets de l'ODAP chez l'homme[6]. La LD50 est également inconnue.
Excitotoxicité
L'ODAP active les récepteurs AMPA qui peuvent induire une excitotoxicité, ou une hyperstimulation des récepteurs du glutamate. La libération de glutamate en quantité excessive, soit en une fois, soit au cours d'une période de temps prolongée, conduit à des niveaux accrus de Ca2+ dans le cytoplasme. Puisque Ca2+ est la molécule de signalisation pour la libération du glutamate dans les synapses, cela peut entraîner une potentialisation du cycle de libération du glutamate et la propagation de dégâts excitotoxiques aux neurones voisins. À l'intérieur du neurone, le Ca2+ en excès quitte le cytoplasme pour entrer dans la mitochondrie ou le réticulum endoplasmique (RE), ce qui peut conduire à une accumulation des protéines mal pliées ou dépliées dans le RE et finalement à la mort cellulaire dans les deux cas. En plus de son action comme agoniste, on a prouvé que l'ODAP est transporté dans la cellule par un antiport qui transporte simultanément le glutamate dans la synapse[7].
Stress oxidatif
Le deuxième effet biologique de l'ODAP est le stress oxydatif. Les dérivés réactifs de l'oxygène (DRO) sont générées dans les mitochondries au cours du métabolisme, et le corps dispose de mécanismes pour neutraliser ces molécules avant qu'elles ne causent des dégâts. Le stress oxydatif résulte d'une perturbation du fonctionnement normal de ces processus. Un antioxydant dans la voie neutralisante est le glutathion (GSH), dont la synthèse nécessite des acides aminés soufrés (méthionine et cystéine) comme précurseurs. On estime que l'ODAP, peut-être en raison de l'excitotoxicité induite, réduit l'ingestion de cystéine à travers son antiport. Cela inhibe la synthèse de GSH, conduisant à une augmentation de la production de DRO et des dégâts dans les mitochondries. Les neurones moteurs peuvent être les plus sensibles à l'intoxication par l'ODAP car ils présentent une plus grande dépendance vis-à-vis de la méthionine précurseur du GSH. En outre, Lathyrus sativus est une espèce déficiente en acides aminés soufrés, ce qui augmente les effets de l'ODAP au niveau du récepteur sur la production de GSH lorsqu'il est ingéré[7].
Synthèse
Biosynthèse
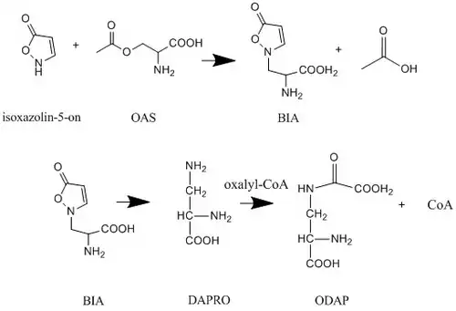
Chez Lathyrus sativus, l' ODAP est synthétisé chez les jeunes plants à partir du précurseur (β-isoxazoline-5-on-2-yl)-alanine, également connu sous le nom de BIA. Le BIA n'a pas été détecté dans les organes de plantes adultes ni dans les graines mûrissantes. La voie de synthèse commence par la formation de BIA à partir de l'O-acétyl-L-sérine (OAS) et de l'isoxazoline-5-on. Une ouverture de cycle conduit à la formation d'un intermédiaire à courte durée de vie, le 2,3-L-diaminopropanoïque (DAPRO) qui est ensuite oxalylisé par l'oxalyl-coenzyme A pour former l'ODAP[8].

Synthèse chimique
L'ODAP peut être synthétisé à partir de l'acide L-α, β-diaminopropionique et de l'oxalate de diméthyle à un pH de 4,5 à 5. L'oxyde cuivrique peut être utilisé pour protéger temporairement le groupe α-NH2 de l'acide L-α, β-diaminoproprionique au cours de la réaction[3].

Culture
L'aventurier Christopher McCandless est probablement mort empoisonné des effets de l'ODAP après avoir ingéré des graines d'Hedysarum alpinum ou de Hedysarum mackenzii, qu'il a trouvé aux alentours du bus dans lequel il s'était réfugié, en Alaska[9].
Notes et références
- ↑ Masse molaire calculée d’après « Atomic weights of the elements 2007 », sur www.chem.qmul.ac.uk.
- ↑ (en) Yohannes W. Woldeamanuel, Anhar Hassan et Guta Zenebe, « Neurolathyrism: two Ethiopian case reports and review of the literature », Journal of Neurology, vol. 259, no 7, , p. 1263–1268 (ISSN 0340-5354, DOI 10.1007/s00415-011-6306-4, lire en ligne).
- 1 2 (en) S Rao, P Adiga et P Sarma, « The Isolation and Characterization of β-N-Oxalyl-L-α,β-Diaminopropionic Acid: A Neurotoxin from the Seeds of Lathyrus sativus », Biochemistry, vol. 3, no 3, , p. 432–436 (DOI 10.1021/bi00891a022, lire en ligne, consulté le ).
- 1 2 3 Heuzé V., Tran G., Hassoun P., Lessire M., Lebas F., 2016. Grass pea (Lathyrus sativus). Feedipedia (INRA, CIRAD, AFZ & FAO). https://www.feedipedia.org/node/285, 19 avril 2016.
- ↑ (en) « Lathyrus Research », sur Universiteit Gent (consulté le ).
- 1 2 3 (en) S Singh et S Rao, « Lessons from neurolathyrism: A disease of the past & the future of Lathyrus sativus (Khesari dal) », Indian Journal of Medical Research, vol. 138, no 1, , p. 32–37.
- 1 2 3 4 (en) M Moorhem, F Lambein et L Laybaert, « Unraveling the mechanism of β-N-oxalyl-α,β-diaminopropionic acid (β-ODAP) induced excitotoxicity and oxidative stress, relevance for neurolathyrism prevention », Food and Chemical Toxicology, vol. 49, no 3, , p. 550–555 (DOI 10.1016/j.fct.2010.03.054, lire en ligne, consulté le ).
- ↑ (en) Y Kuo, J Khan et F Lambein, « Biosynthesis of the neurotoxin β-odap in developing pods of Lathyrus sativus », Phytochemistry, vol. 35, no 4, , p. 911–913 (DOI 10.1016/s0031-9422(00)90637-x, lire en ligne, consulté le ).
- ↑ (en) « How Chris McCandless Died », sur The New Yorker, (consulté le ).
Voir aussi
- β-N-Méthylamino-L-alanine, toxine apparentée.
- Portail de la chimie
- Portail de la biochimie
- Portail de la botanique
- Portail des Fabaceae
