Acide parabanique

Acide parabanique
Image illustrative de l’article Acide parabanique
Identification
Nom UICPA imidazoline-2,4,5-trione
Synonymes

2,4,5-Imidazolidinetrione Oxalylurée

No CAS 120-89-8
No ECHA 100.004.032
PubChem 67126
Apparence poudre cristalline blanche à presque blanche
Propriétés chimiques
Formule C3H2N2O3
Masse molaire[1] 114,059 6 ± 0,003 8 g/mol
C 31,59 %, H 1,77 %, N 24,56 %, O 42,08 %, 114,06 g/mol
pKa 6.1 (25°C)
Propriétés physiques
fusion 249°C
Considérations thérapeutiques
Précautions Irritant

Unités du SI et CNTP, sauf indication contraire.

L'acide parabanique, également appelé oxalylurée, est un composé hétérocyclique, obtenu par oxydation de l'urée, qui peut être utilisé dans de nombreux domaines comme la synthèse organique ou l'industrie pharmaceutique grâce à sa structure trionique unique (trois fonctions cétones).

En pharmaceutique, il peut être utilisé, lors du développement de traitements contre l'épilepsie, contre les complications liées au diabète, ou encore, contre des maladies neurovégétatives et pour son utilisation comme marqueur du stress oxydatif. En chimie organique, il est utilisé en tant qu'intermédiaire dans la synthèses de composés hétérocycliques complexes et de matériaux contribuant à la production de polymères. En agrochimie, il sert à la production de pesticides ou herbicides. Plus rarement, il peut aussi quelquefois être utilisé pour la production de conservateurs alimentaires ou de colorants[2],[3].

Synthèse

L’acide parabanique est un composé hétérocyclique, qui peut être obtenu par différentes méthodes de synthèse :

Réactivité

L'acide parabanique est une molécule chimique très réactive, possédant plusieurs groupes électrophiles.

Ces groupes carbonylé sont également impliqués avec des nucléophiles dans des réactions de réduction en groupement alcool, d'estérification et également la formation d’imides par une interaction avec un groupement amine.

Plus spécifiquement, l'acide parabanique, de part les doublets d’oxygène des groupement carbonyles, peut servir de ligand pontant et interagir avec des centres métalliques, tel que le palladium en vue de former des complexes hexanucléaires et homochiraux[5].

Les groupes carbonyles électrophiles de l'acide parabanique peuvent également agir comme des nucléophiles, en activant un réactif électrophile, interagissant avec un oxonium phosphonium dans la réaction de Mitsunobu[6].

Bilan de la réaction de Mitsunobu

Enfin, selon plusieurs méthodes, l'acide parabanique peuvent réagir dans des réactions de condensation en cascade. En effet, leurs carbonyles électrophiles peuvent être attaqués par des nucléophiles comme des amines, thiols ou alcools. Le cycle imidazolidine peut également être déprotoné, permettant à l’azote d’agir comme un nucléophile et d’initier des réactions de substitutions ou de cyclisation. Ces types de réactions permettent notamment d’obtenir des hétérocycles bioactifs comme des dérivés uréiques substitués ou des analogues de la thymine[5].

L’acide parabanique est un marqueur pour révéler la présence des espèces réactives de l’oxygène par exemple dans le cerveau. Ces espèces réactives de l’oxygène sont des molécules neurotoxiques (provoquant un stress oxydant). La réaction de l’acide urique avec une espèce réactive de l’oxygène (un oxygène singulet) forme l’acide parabanique, confirmé par une chromatographie en phase liquide et spectrométrie de masse[7].

Dérivés

L’acide parabanique possède de nombreux dérivés puisqu’il est notamment le précurseur de barbituriques, une famille de médicaments utilisés pour la sédation, l’anesthésie ou comme anticonvulsants. Il est également le précurseur de l’acide alloxanique, qui résulte de l’oxydation partielle de l’acide urique. Ce dernier étant lui-même un précurseur de l’alloxane, composé utilisé dans la recherche pour induire le diabète dans des expérimentations animales.

Dérivé de l'acide parabanique

Cette famille de médicaments, issus de dérivés, agit par l’amélioration de l’action du GABA dans les synapses, neurotransmetteur inhibiteur du système nerveux central. Ils entraînent l’augmentation du passage des ions chlorure (Cl-) dans les neurones, ce qui réduit l’excitabilité neuronale et prévient les crises épileptiques. Un test d’activité épileptique neurotoxique a été fait sur un dérivé de l’acide parabanique, ce type de dérivé s’est montré plus efficace que le phénobarbital, un médicament standard au traitement antiépileptique. Cette étude prouve le potentiel pharmaceutique de l’acide parabanique avec l’utilisation de ses dérivés pour la synthèse d’une nouvelle classe de médicament anticonvulsants[8].

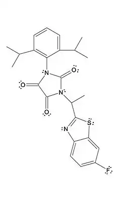
La synthèse et la caractérisation d’une série d'inhibiteurs nouveaux et hautement actifs de l'acétylcholinestérase (AChE) et de la butyrylcholinestérase (BChE) ont été réalisées. Ces inhibiteurs sont des dérivés de benzothiazoles substitués, contenant une quantité d'imidazolidine-2,4,5-trione. Parmi ces dérivés, les suivants ont été caractérisé :

  • 1-(2,6-diisopropyl-phenyl)-3-[(1R)-1-(6-fluoro-1,3-benzothiazol-2-yl)éthyl]-imidazolidine-2,4,5-trione
    1-(2,6-diisopropyl-phenyl)-3-((1R)-1-(6-fluoro-1,3-benzothiazol-2-yl)éthyl)-imidazolidine-2,4,5-trione
    [9]
  • 1-(4-isopropylphényl)-3-[(R)-1-(6-fluorobenzo[d]thiazol-2-yl)éthyl]imidazolidine-2,4,5-trione
    1-(4-isopropylphényl)-3-((R)-1-(6-fluorobenzo(d)thiazol-2-yl)éthyl)imidazolidine-2,4,5-trione
    [10]

Ce dernier ayant une activité inhibitrice plus élevée.

Usages

Étant le produit de l’oxydation de la Guanine, l’acide parabanique est un marqueur important des réactions de radicaux libres in vivo et peut être utilisé pour surveiller l’activité des radicaux libres. Les radicaux libres sont des molécules instables qui peuvent causer des dommages oxydatifs aux cellules et à l'ADN. En réagissant avec des bases nucléiques telles que la guanine, ils peuvent entraîner la formation d’acide parabanique[11].

Ce composé a donc une importance médicale dans l’étude des maladies liées au stress oxydatif (telles que des troubles cardiovasculaires, neurodégénératifs, ou encore le vieillissement cellulaire) mais également dans le développement de traitement anti-oxydant.

L’acide parabanique est utilisé, par le biais de ses dérivés comme activateur de l’AMPK (protéine kinase activée par l’AMP), une enzyme clé dans la régulation du métabolisme énergétique. Ces composés montrent des effets prometteurs pour traiter les troubles métaboliques en améliorant les anomalies du métabolisme des lipides et des glucides, ce qui est bénéfique pour des maladies comme le diabète de type II et l’obésité. Ils favorisent également une meilleure absorption du glucose par le foie et réduisent la synthèse des lipides permettant de réduire le niveau de glucose et de lipides dans le sang. Grâce à leur effets sur le métabolisme, ils peuvent contribuer à réduire les risques cardiovasculaires[12].

Les dérivés de l’acide parabanique peuvent également être utilisé comme inhibiteurs de l’aldose réductase, une enzyme clé dans le métabolisme des polyols, impliquée dans les complication du diabète telles que la neuropathie diabétique, la cataracte et rétinopathie diabétique, la néphropathie diabétique ou encore la dermopathie et autres microangiopathies. Lors d’un cas hyperglycémie, l’aldose réductase convertit excessivement le glucose en sorbitol, entraînant une accumulation intracellulaire et un stress osmotique, causant des dysfonctionnement cellulaire. Les dérivés de l’acide parabanique permettent l’inhibition sélective de l’aldose réductase, empêchant l’accumulation de sorbitol et réduisant les dommages sur les cellules nerveuses, rétiniennes et rénales. Les effets secondaires sont très réduits en raison de la très forte spécificité des dérivés pour l’enzyme, avec un taux de spécificité allant jusqu’à 83% à 10-7 M. Ces dérivés peuvent être formulés sous différentes formes galéniques (orale, injectable ou topiques)[13].

Les benzothiazoles substitués sont des systèmes hétérocycliques avec un large éventail d'activités biologiques intéressantes. Des études ont en effet pu montrer leur rôle important sur la modulation de la bioactivité notamment lorsqu’ils possèdent des substituants tel que l’imidazolidine-2,4,5-trione sur la position 2.

Ainsi les dérivés d’imidazolidine-2,4,5-trione présentent un intérêt dans le traitement de troubles neurologiques et des maladies neurovégétatives, grâce à leur rôle dans l’inhibition enzymatique de AChE et BChE. Ils sont donc primordiaux dans le secteur pharmaceutique, notamment dans le développement de traitements contre l’Alzheimer en permettant l’amélioration de la transmission nerveuse de part une activité enzymatique inhibitrice significativement plus élevée que celle des médicament standard : rivastigmine et galanthamine. Mais pas que, étant donné que l’acide parabanique est un précurseur structurel des barbituriques, une classe de médicaments ayant des effets anticonvulsivants utilisés dans le traitement de l’épilepsie. Des dérivés comme le phénobarbital et le primidone agissent en modulant l’activité du récepteur GABA-A, favorisant ainsi une inhibition neuronale et réduisant l’activité épileptique[8].

Les dérivés de l’acide parabanique possèdent une forte activité herbicide qui permet l’élimination sélective ou totale des mauvaises herbes : en agissant comme inhibiteurs enzymatiques impliqués dans la biosynthèse des acides aminés, bloquant ainsi la croissance des plantes indésirables ; en inhibant la photosynthèse, par interaction avec le photosystème II ou les enzymes de la chaîne de transport d’électrons ; ou encore en induisant un stress oxydatif causant une destruction cellulaire rapide. Ces composés ont montré une efficacité particulière contre certaines graminées adventices telles que Digitaria spp (bluthirse). Leur sélectivité permet, lorsqu’ils sont bien formulés, d’éviter des dommages trop importants pour les cultures. Ces herbicides sont formulés sous formes de suspensions aqueuses, d’émulsions ou de granulés dispersibles, pouvant être appliqués de manière pré-levée (sur le sol avant la germination des graines) et post-levée (pulvérisation directe sur les feuilles des mauvaises herbes). Ils peuvent être associés à d’autres herbicides comme les triazines, les uraciles ou les carbamates et thiocarbamates, pour une efficacité optimale[14].

En chimie analytique, ce composé est utilisé en méthode d’analyse pour détecter et quantifier d’autres substances, améliorant la précision des analyses en laboratoires. De par sa petite taille et sa structure très réactive, l’acide parabanique est beaucoup utilisé en spectroscopie[15].

Le composé est exploré pour ses potentielles applications en tant que colorant mais également en tant que conservateur alimentaire, offrant des bénéfices dans l’extension de la durée de conservation tout en maintenant la sécurité alimentaire.

Aspect socio-économique

Ce composé contribue donc à l’innovation scientifique en permettant le développement de nouvelles molécules utiles dans divers domaines, ce qui lui confère une importance dans le secteur industriel.

Ce composé n’est commercialisé qu’à des fins de recherche, et son prix, relativement élevé, varie en fonction de la quantité et de la pureté du composé. Pour 1g d’acide parabanique de pureté supérieur à 98%, le prix varie selon les sites de vente : entre 42$ (d’après le site GLP Bio) et 62,19$ (d’après le site Chem Impex).

Références

  1. Masse molaire calculée d’après « Atomic weights of the elements 2007 », sur www.chem.qmul.ac.uk.
  2. (en) « Parabanic acid », sur Chem-Impex (consulté le )
  3. (en) PubChem, « Parabanic acid », sur pubchem.ncbi.nlm.nih.gov (consulté le )
  4. Sayaka Iida, Yuki Ohkubo, Yorihiro Yamamoto et Akio Fujisawa, « Parabanic acid is the singlet oxygen specific oxidation product of uric acid », Journal of Clinical Biochemistry and Nutrition, vol. 61, no 3, , p. 169–175 (DOI 10.3164/jcbn.17-24, lire en ligne, consulté le )
  5. 1 2 C. C. Marvin, « 6.02 Synthesis of Amines and Ammonium Salts », dans Comprehensive Organic Synthesis (Second Edition), Elsevier, , 34–99 p. (ISBN 978-0-08-097743-0, lire en ligne)
  6. (en) « Parabanic acid »
  7. (en-US) Lars Hillered et Lennart Persson, « Parabanic acid for monitoring of oxygen radical activity in the injured human brain », NeuroReport, vol. 6, no 13, , p. 1816 (ISSN 0959-4965, lire en ligne, consulté le )
  8. 1 2 Mona Elsayed Aboutabl, Rasha Mohamed Hassan, Aida Abdel-Sattar El-Azzouny et Mohamed Nabil Aboul-Enein, « Design and synthesis of novel parabanic acid derivatives as anticonvulsants », Bioorganic Chemistry, vol. 94, , p. 103473 (ISSN 0045-2068, DOI 10.1016/j.bioorg.2019.103473, lire en ligne, consulté le )
  9. Vladimir Pejchal, Sarka Stepankova, Zdenka Padelkova et Ales Imramovsky, « 1,3-substituted imidazolidine-2,4,5-triones: synthesis and inhibition of cholinergic enzymes », Molecules (Basel, Switzerland), vol. 16, no 9, , p. 7565–7582 (ISSN 1420-3049, PMID 21894089, PMCID 6264296, DOI 10.3390/molecules16097565, lire en ligne, consulté le )
  10. (en) Vladimir Pejchal, Sarka Stepankova, Zdenka Padelkova et Ales Imramovsky, « 1,3-Substituted Imidazolidine-2,4,5-triones: Synthesis and Inhibition of Cholinergic Enzymes », Molecules, vol. 16, no 9, , p. 7565–7582 (ISSN 1420-3049, PMID 21894089, PMCID 6264296, DOI 10.3390/molecules16097565, lire en ligne, consulté le )
  11. Corine Vialas, Catherine Claparols, Geneviève Pratviel et Bernard Meunier, « Guanine Oxidation in Double-Stranded DNA by Mn-TMPyP/KHSO5:  5,8-Dihydroxy-7,8-dihydroguanine Residue as a Key Precursor of Imidazolone and Parabanic Acid Derivatives », Journal of the American Chemical Society, vol. 122, no 10, , p. 2157–2167 (ISSN 0002-7863, DOI 10.1021/ja992860p, lire en ligne, consulté le )
  12. « OMPI – Recherche dans les collections de brevets nationales et internationales », sur patentscope.wipo.int (consulté le )
  13. « WIPO - Search International and National Patent Collections », sur patentscope.wipo.int (consulté le )
  14. « WIPO - Search International and National Patent Collections », sur patentscope.wipo.int (consulté le )
  15. Matthew R. Hudson, Damian G. Allis et Bruce S. Hudson, « The Vibrational Spectrum of Parabanic Acid by Inelastic Neutron Scattering Spectroscopy and Simulation by Solid-State DFT », The Journal of Physical Chemistry A, vol. 114, no 10, , p. 3630–3641 (ISSN 1089-5639, DOI 10.1021/jp9114095, lire en ligne, consulté le )
  • icône décorative Portail de la chimie