Anharmonicité

L'anharmonicité, en physique, désigne tout phénomène par lequel un oscillateur s'écarte du cas idéal de l'oscillateur harmonique.
Pour un oscillateur mécanique, par exemple dans le cas d'un ressort, l'anharmonicité peut être causée par une force de rappel qui n'est pas proportionnelle à l'élongation, par exemple due à des frottements fluides.
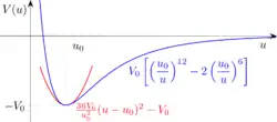
Dans le développement de l'énergie potentielle d'un oscillateur autour de sa position d'équilibre, le terme d'ordre deux constitue la composante harmonique ; tous les termes d'ordre supérieur sont des composantes anharmoniques.
La prise en compte des contributions anharmoniques est parfois nécessaire. En physique du solide notamment, il n'est pas possible d'expliquer le phénomène de dilatation thermique sans y faire appel[pourquoi ?].
Notes et références
Liens externes
Voir aussi
Article connexe
- Résonance non linéaire
- Inharmonicité (acoustique)
- Portail de la physique