Annulyne
Les annulynes ou 1,2-dideshydroannulènes sont des hydrocarbures monocycliques complètement conjugués avec les doubles liaisons alternées et une triple liaison typique des alcynes[1].

Ils ressemblent aux annulènes qui ont seulement des doubles liaisons alternées. Le plus petit membre de cette classe de composé est le [4]annulyne ou cyclobutènyne qui n'a encore jamais été observé parce que les contraintes d'angle dans cette molécule sont trop fortes. Le membre suivant est le [6]annulyne ou benzyne qui est une intermédiaire réactionnel bien connu en chimie organique. Le [8]annulyne est connu mais il se dimérise ou se trimérise rapidement. Ce composé a été piégé sous forme de son anion radicalaire et observé en spectroscopie RPE (Résonance Paramagnétique Électronique). Le [10]annulyne comme le [4]annulyne n'existent qu'en théorie.
![Trimerization du [8]Annulyne en présence d'une base](./Annulynetrimerization.png)
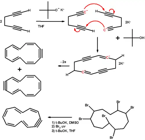
Le [12]annulyne est un composé stable et peut être observé en solution par spectroscopie RMN (Résonance Magnétique Nucléaire) à température ambiante. La réaction du 1,5-hexadiyne avec du tert-butanolate de potassium produit deux isomères : 4,8-(E,E)-[12]annulyne et 2,10-(E,E)-[12]annulyne dans un ratio 1:1. La marche de cette réaction n'est jusqu'à maintenant comprise que comme une réaction de transfert électronique non spécifiée. Un troisième isomère, le 2,8-(E,E)-[12]annulyne peut être obtenu en trois étapes à partir du hexabromocyclododécane. Contrairement aux autres annulynes, les isomères du [12]annulyne sont bien stables et n'ont pas tendance à se condenser avec eux-mêmes. Les [12]annulynes peuvent réagir avec le potassium métallique pour former des anions radicalaires et des di-anions.
Le déplacement chimique en RMN des deux atomes d'hydrogène internes du di-anion est négatif, ceci étant dû à un courant dans le cycle aromatique (en) qui est diamagnétique (le cycle). L'hydrogène à côté du groupe alcyne a quant à lui un déplacement chimique proche de 14 ppm car il subit la charge positive du potassium qui s'y coordonne.
![[12]Annulyne synthesis from 1,5-hexadiyne](./-12-annulene.png)
Notes
- ↑ [12]Annulynes, Matthew N. Gard, Matthew K. Kiesewetter, Richard C. Reiter, and Cheryl D. Stevenson;J. Am. Chem. Soc.; 127(46); 2005; p. 16143 - 16150. DOI 10.1021/ja053886l
- (en) Cet article est partiellement ou en totalité issu de l’article de Wikipédia en anglais intitulé « Annulyne » (voir la liste des auteurs).
- Portail de la chimie