Borate de tributyle
| Borate de tributyl | |
| |
| Représentation 3D du tributyl borate | |
| Identification | |
|---|---|
| Nom UICPA | Borate de tributyl |
| Synonymes |
TributylBorate |
| No CAS | |
| No ECHA | 100.010.643 |
| No CE | 211-706-5 |
| PubChem | 12712 |
| Propriétés chimiques | |
| Formule | C12H27BO3 |
| Masse molaire[1] | 230,152 ± 0,019 g/mol C 62,62 %, H 11,82 %, B 4,7 %, O 20,86 %, 230,156 g mol |
| Propriétés physiques | |
| Masse volumique | 0,85 g cm−3(gaz à 20 °C) |
| Précautions | |
| SGH | |
![]() ![]() ![]() Attention |
|
| Unités du SI et CNTP, sauf indication contraire. | |
Le borate de tributyl (ou tributyl borate, TBB) est un composé organique de formule B(OBu)₃ et de formule brute C₁₂H₂₇BO₃, où "Bu" représente le groupement butyle.

Il se présente sous la forme d’un liquide incolore et presque inodore, inflammable et volatil, qui est caractérisé par sa couleur verte lorsque enflammé (du fait de la présence de bore). Il fait partie des esters boroniques et, comme la plupart des autres esters boroniques, il est obtenu par réaction d’estérification entre l’acide borique et un ou plusieurs alcools ou diols, en conditions azéotropiques, ce qui permet de ne pas produire d’eau.
Outre ses caractéristiques physico-chimiques, le TBB joue un rôle clé dans plusieurs domaines scientifiques et industriels, allant de la synthèse organique d’acides boriques et de borohydrures à l’utilisation en tant qu'additifs pour les batteries lithium-ion, en passant par son utilisation en tant que catalyseur. Son importance grandissante dans l'industrie découle de ses propriétés chimiques, notamment de sa capacité à former des complexes borés réactifs, qui en fait un outil précieux dans des applications de haute technologie.
Généralités
Les composés boroniques sont une classe de substances chimiques contenant au moins une liaison entre un atome de bore et un groupe organique.
Ces composés sont utilisés dans divers domaines industriels, notamment dans la production de médicaments, de matériaux électroniques et comme retardateurs de flamme dans les polymères. Ils servent aussi d’antioxydants, de catalyseurs et d’additifs pour carburants et polymères. Cependant, leurs propriétés thermodynamiques restent peu étudiées expérimentalement. Leur popularité est due à la polyvalence du bore, qui peut adopter différentes hybridations et interagir avec divers éléments pour former des structures moléculaires uniques.
Le tributyl borate (et les autres esters boroniques), doit être synthétisé de façon anhydre, en effet, sa sensibilité à l’hydrolyse le rend prône à réagir avec l’eau du système et se décompose en acide borique et n-butanol. Il faut donc prendre en compte cette sensibilité lors de sa synthèse et minimiser l’exposition à l'eau afin d’obtenir un produit stable et pur[2].
Les acides boroniques et les dérivés d'acide boronique jouent un rôle important en synthèse organique et en chimie médicinale, du fait de leur polyvalence comme intermédiaires de synthèse dans la préparation de molécules complexes. Le TBB est un intermédiaire de qualité et peut faire effet d’introduction aux autres composés de même nature. Par exemple, il réagit avec l’aniline pour produire le butyl anilin. Il est également utilisé lors d'estérifications et transestérification et pour obtenir des acides boroniques.
Historique et développement
L’histoire du tributyl borate (TBB) est relativement peu connue. Elle s’inscrit cependant dans l'histoire de sa famille: les composés boroniques ou esters borés.
C’est au XIXe siècle que les premières études sur la chimie du bore sont réalisées et cet élément est isolé pour la première fois en 1808 par Joseph Louis Gay-Lussac et Louis Jacques Thénard. Ce n’est cependant qu’au XX siècle que les esters borés vont devenir un un réel sujet d’étude de par leur intérêt en chimie organique et industrielle. Leur utilisation en tant qu’additifs s’est ainsi développée lors de l’essor de la chimie de catalyse et des matériaux.
Le TBB s’est introduit dans plusieurs domaines de la chimie, notamment la synthèse de matériaux avancés et sont utilité protectrice d'électrodes dans les batteries (avec un cas spécial des batteries au lithium).
L’évolution des recherches sur le TBB continue d’avancer, de par toutes les perspectives que ce composé semble présenter en matériaux polymères et chimie verte
Synthèse
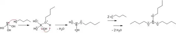
Le tributyl borate (ou borate de tributyl, TBB) est le produit d’une estérification entre un acide boronique (B(OH)₃) et un alcool butylique (ou n-butanol,C₄H₉OH). Cette synthèse traditionnelle suis le bilan réactionnel suivant: B(OH)₃ + 3 C₄H₉OH → B(OC₄H₉)₃ + 3 H₂O


Cette préparation du tributyl borate, une méthode efficace consiste à estérifier l'acide borique avec un excès de n-butanol, en utilisant le n-butanol à la fois comme réactif et comme agent éliminateur d'eau (par l’évaporation). Voici les étapes détaillées de cette méthode :
- Mélange des réactifs : Dans un réacteur, on introduit de l'acide borique et une quantité 5 fois plus grande de n-butanol.
- Chauffage sous irradiation micro-ondes : Soumettez le mélange réactionnel à un chauffage par reflux pendant plusieurs heures. Une autre méthode serait d’exposer le système à l’ irradiation micro-ondes pendant plusieurs minutes. Cette méthode permet d'accélérer la réaction par rapport au chauffage conventionnel.
- Élimination de l'eau : Pendant la réaction, l'eau formée est éliminée en continu grâce à l'utilisation du n-butanol comme agent entraîneur d'eau, ce qui favorise l'avancement de la réaction vers la formation du produit désiré.
- Purification du produit : Après la réaction, le mélange est soumis à une distillation sous pression réduite pour séparer le tributyl borate des autres composants. Le produit principal est collecté à une température de distillation de 130 à 136 °C.
Cette méthode permet d'obtenir un rendement moyen de 87,4 % en tributyl borate. L'utilisation du n-butanol comme agent entraîneur d'eau simplifie le procédé en évitant l'emploi de solvants supplémentaires, et l'irradiation micro-ondes réduit significativement le temps de réaction par rapport aux méthodes traditionnelles de chauffage.
Il y a plusieurs possibilités de variations des conditions de cette synthèse traditionnelle :
- sans solvant, à reflux : rendement de 96% (atmosphère inerte)
- dans l’acide sulfurique(quelle utilisation) et dans le toluène (solvant) à 130°C, prend 3h30: rendement de 73,58%
en utilisant de l’amberlyst25 (catalyseur) à 120°C: rendement à 93,37%
Cependant, cette réaction produit de l’eau, ce qui pose problème étant donné la sensibilité à l’hydrolyse du TBB. Cette exposition à l’eau entraîne une décomposition en acide borique et n-butanol.
Pour éviter de produire de l’eau lors de cette synthèse, il est possible d’utiliser une méthode alternative en utilisant le trioxyde de bore (B₂O₃) (ou même le borax) comme réactif à la place de l'acide borique. Cette approche supprime le problème de dégradation du produit par hydrolyse. Elle suit le bilan suivant :
B₂O₃ + 6 C₄H₉OH → 2 B(OC₄H₉)₃ + 3 H₂O
Bien qu’une production d’eau soit tout de même notée, l'excès de n-butanol permet d’éliminer l’eau par distillation azéotropique de façon plus efficace.
| Méthode | Réactifs | Conditions | Rendement | Avantages | Inconvénients |
|---|---|---|---|---|---|
| Réaction avec n-butanol et acide borique | Acide borique (B(OH)₃) + n-Butanol | Chauffage sous reflux, élimination de l'eau (à ~140°C) | 70-80 % | Méthode simple, bien établie | Nécessite des conditions anhydres, risque d'hydrolyse |
| Réaction avec borate de sodium e n-butanol | Sodium borate + n-Butanol | Reflux à 150-180°C, présence d'un catalyseur acide (par exemple, acide sulfurique) | 80-90 % | Réaction rapide et efficace, conditions de reflux | Risque de formation de sous-produits, nécessite un catalyseur |
| Réaction avec trimethyl borate t n-butano | Trimethyl Borate + n-Butanol | Conditions anhydres, chauffage à 120-140°C | 90-95 % | Meilleur contrôle sur la stœchiométrie, haut rendement | Nécessite des réactifs plus coûteux et conditions strictes |
| Réaction avec le trioxyde de bore (B₂O₃) | Trioxyde de bore (B₂O₃) + n-Butanol | Chauffage à 150-180°C, conditions anhydres | 85-95 % | Haute efficacité, méthode directe et rapide | Nécessite des conditions strictes pour éviter l'hydrolyse |
| Réaction électrochimique | Acide borique + n-Butanol | Électrolyse dans un solvant organique comme le toluène, sans eau, T°ambiante | Variable (dépend des conditions) | Méthode plus écologique, sans solvant anhydre | Processus complexe, nécessite des équipements spécialisés |
Il existe plusieurs méthodes efficaces pour la synthèse du tributyl borate, chacune ayant ses avantages spécifiques. Parmi celles-ci, on trouve l’estérification directe entre l’acide borique et le n-butanol, qui est une méthode simple et bien établie.
On peut aussi utiliser la transestérification avec des réactifs comme le trimethyl borate ou le trioxyde de bore (B₂O₃), qui permettent une réaction rapide et efficace. Enfin, une méthode électrochimique innovante permet la formation du tributyl borate sans solvant anhydre, utilisant des mécanismes électrochimiques pour éliminer l’eau. Chacune de ces approches présente un intérêt, en fonction des besoins expérimentaux et des conditions de réaction choisies[3].
Applications et utilisations
De façon générale, le borate de tributyl peut être appliqué dans différents domaines d’applications.
En électrochimie, le tributyl borate (TBB) est un additif électrolyte clé pour les batteries lithium-ion, car il améliore la stabilité et les performances des cathodes dans les électrolytes à base de solvants carbonés sous haute tension (plus de 4V). Il est notamment utilisé avec des matériaux cathodiques comme l'oxyde de lithium et de cobalt (LiCoO₂, LCO)[4] et le spinelle LiNi0.5Mn1.5O4 [5]. Ces matériaux sont sujets à des dégradations structurelles et électrochimiques (oxydation de l’électrolyte, dissolution des métaux de transition, instabilité de l’interface). Le TBB limite la dissolution du cobalt dans LiCoO₂ et réduit la décomposition de l’électrolyte, tout en favorisant le transfert des ions lithium grâce à la formation d’un film protecteur riche en bore. Il diminue également la polarisation, l’autodécharge et la formation de sous-produits indésirables, ce qui prolonge la durée de vie et optimise les performances des batteries.
Grâce à ces propriétés, le TBB est un additif essentiel pour des applications exigeant stabilité et longévité, comme les véhicules électriques ou le stockage d’énergie.
Dans le domaine des nanomatériaux, le tributyl borate, un métallo-organique, est utilisé comme source de bore pour la fabrication de nanocomposites associant nanotubes de carbone et oxyde de bore (B₂O₃). Son rôle principal consiste à favoriser le dépôt d’une couche d’oxyde de bore sur les nanotubes, améliorant ainsi leur dispersion et leur stabilité dans les matériaux inorganiques. Cette propriété est particulièrement pertinente pour l’électronique et l’optique. En effet, l’oxyde de bore étant reconnu pour sa résistance aux hautes températures et aux produits chimiques, il est utilisé comme revêtement protecteur dans les matériaux réfractaires et joue un rôle clé dans l’optimisation de la transmission des signaux dans les fibres optiques.
Grâce à ces avantages, le TBB permet de développer des nanomatériaux plus performants, ouvrant la voie à des applications en nanoélectronique, télécommunications et revêtements innovants[6].
Dans le domaine de la surveillance nucléaire, de la radioprotection et de la recherche en physique des particules, le tributyl borate (TBB) se révèle un détecteur performant pour les neutrons thermiques. Le TBB agit par la réaction entre le bore-10 (10B) et les neutrons, produisant du lithium-7 et de l’hélium-4. Ces particules permettent la destruction de liposomes porteurs de marqueurs détectables. On peut donner l’exemple pour le processus de détection par nanoparticules magnétiques (Fe₃O₄@OA) pour séparer et concentrer ces molécules, qui sont ensuite mesurées par spectrophotométrie UV-Vis et résonance plasmonique de surface (SPR), où le TBB permet de faciliter le procédé technique. En effet, l'enrichissement en bore-10, élève l'efficacité de détection jusqu’à 16,7 %, contre environ 1,87 % sans enrichissement, ce qui constitue une nette amélioration.
Comparé à un détecteur à semi-conducteur, ce système présente une bonne flexibilité d’intervention et d’adaptabilité, tout en visant une amélioration vers une détection automatisée et potentiellement en temps réel[7].
Dans le domaine de la chimie organique et inorganique, le tributyl borate (TBB) peut être considéré comme un réactif intermédiaire facilitant diverses transformations chimiques. Il réagit avec les cyclodiméthylsilazanes, entraînant la formation de nouveaux composés et la libération d'ammoniac. Lors de la préparation de matériaux à base de silicium, le TBB interagit également avec les silazanes, initiant un processus de décyclisation qui conduit à des composés tels que le dibutoxydiméthylsilane et le 1,5-dibutoxyhexaméthyltrisilazane. Ces réactifs sont principalement utilisés pour modifier les surfaces, améliorer leur résistance ou introduire des propriétés spécifiques telles que l'hydrophobicité et la résistance aux conditions environnementales[8].
Toxicité et impact environnemental
Le tributyl borate (TBB) offre une alternative efficace, mais également plus économique, que les réactions classiquement appliquées d’estérification ou de transestérification avec solvant ou catalyseur, puisqu’il les substitue. En effet, cette méthode directe sans solvant, présente l’avantage d’être plus économique, tout en améliorant le risque environnemental associé aux produits chimiques supplémentaires. En outre, l’utilisation du TBB dans ces réactions, permet d’obtenir des rendements tout à fait intéressants, comme celui de 76 % avec l’isoamyl trichloroacetate (Acide trichloroacétique), tout en contribuant à des processus plus écologiques et durables. Cette réaction se voit utilisée dans les synthèses de produits plastifiants et lubrifiants industriels à base ester[9].
Le tributyl borate (TBB) s’avère être un catalyseur efficace pour la synthèse des dérivés de dihydropyrimidinones (DHPMs) par la réaction de Biginelli sous micro-ondes, avec de nombreux avantages par rapport aux procédures classiques : un temps de réaction beaucoup plus court (quelques minutes au lieu de plusieurs heures), et l’absence de produits toxiques (en solvant non aqueux). Cette méthode, respectant les principes de la « chimie verte », répond à la recherche d’une efficacité améliorée, avec un rendement de 95%, et d’une moindre utilisation de produits dangereux, permettant ainsi de diminuer les dérivés indésirables[10].
Réferences
- ↑ Masse molaire calculée d’après « Atomic weights of the elements 2007 », sur www.chem.qmul.ac.uk.
- ↑ William J. Bannister, « '6. A process as described in claim 5, in which the normal tributyl borate is finally purified by vacuum distillation. In testimony whereof I affix my signature. », Brevet, (lire en ligne, consulté le )
- ↑ Sandra Olivero et Elisabet Duñach, « Électrosynthèse d'acides et d'esters boroniques », L'Actualité Chimique, le journal de la SCF, vol. 400-401, no 1, , p. 29 (lire en ligne, consulté le )
- ↑ Zhaoming Qin, Bo Hong, Boyu Duan, Shu Hong, Yuncai Chen, Yanqing Lai et Jiang Feng, « 'Tributyl borate as a novel electrolyte additive to improve high voltage stability of lithium cobalt oxide in carbonate-based electrolyte », Electrochimica Acta, vol. 276, , p. 412-416 (DOI 10.1021/acsami.9b07126, lire en ligne, consulté le ).
- ↑ Tao Huang, Xiangzhen Zheng et Ying Pan, « 'Effect of Tributyl Borate on Electrochemical Performance at an Elevated Temperature of High-Voltage LiNi0.5 Mn1.5 O4 Cathode », ACS Appl. Mater. Interfaces, vol. 11, no 30, , p. 26872-26879 (DOI 10.1021/acsami.9b07126, lire en ligne, consulté le ).
- ↑ Aderemi Oki, Luqman Adams et Zhipping Luo, « 'Solvothermal synthesis of carbon nanotube-B2O3 nanocomposite using tributyl borate as boron oxide source », Inorganic Chemistry Communications, vol. 11, no 3, , p. 275-278 (DOI 10.1016/j.inoche.2007.12.015, lire en ligne, consulté le ).
- ↑ Wei Zhang, Kaikai Wang, Xiaodan Hu, Xiaohong Zhang, Shuquan Chang et Haiqian Zhang, « 'Nanometer-Sized Boron Loaded Liposomes Containing Fe3O4 Magnetic Nanoparticles and Tributyl Borate and Anti-Albumin from Bovine Serum Antibody for Thermal Neutron Detection », Materials, vol. 14, no 11, , p. 3040 (DOI 10.3390/ma14113040, lire en ligne, consulté le ).
- ↑ K. A. Andrianov, L. M. Khananashvili et N. A. Telesheva, « 'Reactions of cyclodimethylsilazanes with butyl alcohol and tributyl borate », Bulletin of the Academy of Sciences of the USSR, Division of chemical science, vol. 14, no 3, , p. 431-434 (DOI 10.1007/BF00846598, lire en ligne, consulté le )
- ↑ Yagoub Mansoori, Firdovsi Seyidov Tataroglu et Mitra Sadaghian, « 'Esterification of carboxylic acids by tributyl borate under solvent- and catalyst-free conditions », Green chemistry : an international journal and green chemistry resource : GC, vol. 7, no 12, , p. 870-870 (DOI 10.1039/b510164f, lire en ligne, consulté le ).
- ↑ Choorikkat Ranjith, G V Srinivasan et K K Vijayan, « 'Tributyl Borate Mediated Biginelli Reaction: A Facile Microwave-Assisted Green Synthetic Strategy toward Dihydropyrimidinones », Bulletin of the Chemical Society of Japan, vol. 83, no 3, , p. 288-290 (DOI 10.1246/bcsj.20090275, lire en ligne, consulté le ).
- Portail de la chimie



