Carvone

(S)-(+)-Carvone
Image illustrative de l’article Carvone
Identification
Nom UICPA (5S)-2-méthyl-5-(prop-1-én-2-yl)cyclohex-2-én-1-one
No CAS 99-49-0 (RS)

2244-16-8 D(+) ou (S)

No ECHA 100.002.508
No CE 218-827-2 D(+) ou (S)
No FEMA 2249
SMILES
InChI
Apparence huile jaunâtre,
odeur de cumin
Propriétés chimiques
Formule C10H14O  [Isomères]
Masse molaire[1] 150,217 6 ± 0,009 3 g/mol
C 79,96 %, H 9,39 %, O 10,65 %,
Propriétés physiques
ébullition 230 à 231 °C
Solubilité Insol. dans l'eau
Écotoxicologie
DL50 3 562 mg·kg-1 (rat, oral)

Unités du SI et CNTP, sauf indication contraire.

(R)-(–)-Carvone
Image illustrative de l’article Carvone
Identification
No CAS 6485-40-1 L(–) ou (R)
No ECHA 100.002.508
No CE 229-352-5 L(–) ou (R)
Apparence huile incolore,
odeur de menthe
Propriétés chimiques
Formule C10H14O  [Isomères]
Masse molaire[2] 150,217 6 ± 0,009 3 g/mol
C 79,96 %, H 9,39 %, O 10,65 %,
Propriétés physiques
ébullition 230 à 231 °C
Solubilité Insol. dans l'eau
Précautions
Directive 67/548/EEC
Nocif
Xn


Écotoxicologie
DL50 1 640 mg·kg-1 (rat, oral)

Unités du SI et CNTP, sauf indication contraire.
Carvones R et S

La carvone (2-méthyl-5-(1-méthyléthènyl)-2-cyclohexén-1-one) (C10H14O) est un liquide incolore à jaune pâle ayant un point d'ébullition de 230 °C. La molécule de carvone appartient à la famille des terpènes et possède un carbone asymétrique. Elle existe donc sous deux formes (des énantiomères) ayant les mêmes propriétés chimiques et physiques et qui ne diffèrent que par leur pouvoir rotatoire.

La R-carvone (l-carvone) (lévogyre) est présente en grande quantité dans les essences de menthe verte. La S-carvone (d-carvone) (dextrogyre) est le constituant majeur des essences extraites d'aneth et des graines de carvi. On en trouve également dans les essences issues des peaux d'oranges. Beaucoup d'essences naturelles, comme celles extraites de la menthe poivrée, contiennent des carvones en petites quantités.

Fait assez rare parmi les énantiomères volatils, les deux molécules possèdent une odeur différente alors que leur composition chimique est rigoureusement la même. Ceci confirme le fait que les récepteurs olfactifs de l'homme sont sensibles à la chiralité des molécules.

Historique

Dans l'Antiquité, les Romains ont utilisé le cumin à des fins thérapeutiques, mais la carvone n'a été isolée qu'en 1881 par Varrentrapp sous le nom de carvol donné par Schweizer. Goldschmidt et Zürrer l'ont identifié comme une cétone apparentée au limonène. Georg Wagner en a précisé sa structure en 1894.

Dangerosité

La dose létale 50 par voie orale de carvone pour un rat est de 3 562 mg·kg-1.

La DL50 de la (S)-(+)-carvone = 1,64 g/kg [Rat, voie orale] et de 5,4 g/kg pour l'isomère R (Bruneton Jean, Pharmacognosie, Phytochimie, Plantes médicinales, Ed° Lavoisier Tec & Doc, 5ème éd°, 2016, p.757).

Préparation

La forme dextrogyre est obtenue par distillation fractionnée de l'huile de cumin des prés. Pour la forme lévogyre, on part d'huile la contenant pour former un composé d'addition avec le sulfure d'hydrogène. Ce produit est décomposé dans l'alcool par l'hydroxyde de potassium et distillé à la vapeur. L'énantiomère lévogyre peut être également préparé par oxydation du R-limonène en nitrosochlorure de limonène, dont la déshydrohalogénation conduit au carvoxime, qui, après hydrolyse, donne la R-carvone. Cette voie synthétique est bon marché car le limonène est extrait des peaux d'oranges issues de l'industrie du jus de fruit.

Propriétés chimiques

Réduction

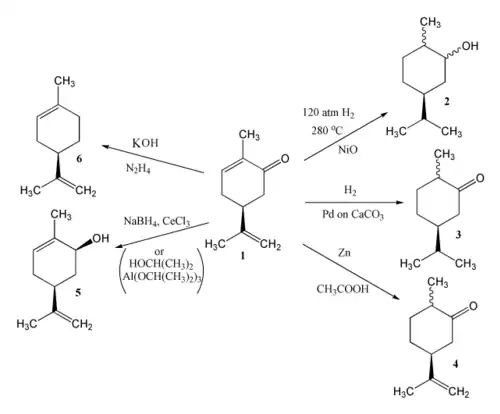
La carvone contenant trois doubles liaisons est susceptible de donner des réactions de réduction. Le résultat de la réduction dépend des réactifs et des conditions sous lesquelles se déroulent les réactions. L'hydrogénation catalytique de la carvone (1) peut donner le carvomenthol (2) ou la carvomenthone (3). Une réduction au zinc dans l'acide acétique donne la dihydrocarvone (4).

Oxydation

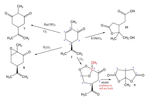
L'oxydation de la carvone peut également conduire à différents composés. En présence d'une base comme Ba(OH)2, la carvone est oxydée par l'air ou l'oxygène pour donner la dicétone.

Utilisations

Réglementation

Sur le plan de la réglementation des produits phytopharmaceutiques :

  • pour l'Union européenne : cette substance active est inscrite à l'annexe I de la directive 91/414/CEE par la directive 2008/44/CE ;
  • pour la France : cette substance active n'a pas d'autorisation d'emploi à ce jour.

Liens externes

(S)-(+)-Carvone
(R)-(−)-Carvone

Notes et références

  • icône décorative Portail de la chimie
  • icône décorative Portail des odeurs, des senteurs et du parfum