Cathinone
| Cathinone | ||
| ||
| ||
| Structure de la cathinone. | ||
| Identification | ||
|---|---|---|
| Nom UICPA | (2S)-2-amino-1-phénylpropan-1-one | |
| No CAS | (L) ou S(–) | |
| No ECHA | 100.163.927 | |
| SMILES | ||
| InChI | ||
| Propriétés chimiques | ||
| Formule | C9H11NO [Isomères] |
|
| Masse molaire[1] | 149,189 7 ± 0,008 5 g/mol C 72,46 %, H 7,43 %, N 9,39 %, O 10,72 %, |
|
| Unités du SI et CNTP, sauf indication contraire. | ||
La cathinone ou β-kéto-amphétamine est un alcaloïde sympathicomimétique provenant des feuilles du khat (Catha edulis), un arbuste africain, dont elle constitue le principe actif.
Des chimistes ont ensuite créé des cathinones de synthèse qui ont largement favorisé l’essor du chemsex. C’est ainsi qu’ils ont produit à partir de la 4-MMC (méphédrone) de la 3-MMC (3-methylmethcathinone), puis la 4-MEC (4-methylethylcathinone). Dans le jargon des toxicologues, on parle d’isomères de la MMC (désignés par le terme x-MMC)[2].
Elle possède des caractéristiques proches de celles des amphétamines[3]. La cathinone est l'énantiomère S de la 2-aminopropiophénone.
La cathinone est le chef de file d'une famille de stimulants, les cathinones (qui sont une sous-famille des amphétamines), parmi lesquelles on peut citer la 3-méthylméthcathinone (3-MMC), la 4-méthyléthcathinone (4-MEC), le bupropion, la méthcathinone, la méthylènedioxypyrovalérone (MDPV), et la plus puissante des cathinones, l'alpha-PVP. Elle est également proche de l'amphétamine, de l'éphédrine et de la pseudoéphédrine. L'usage du khat constitue en Afrique de l'Est ainsi qu'au Yémen, un rituel social commun[4], comparable à celui du café, du thé, maté, maté de coca dans d'autres civilisations.
Chimie
La cathinone est une phényléthylamine, proche de l'amphétamine, dont elle ne diffère que par la présence d'un groupe cétone en position 1. C'est la amphétamine-1-one, ou bêta-kéto-amphétamine.
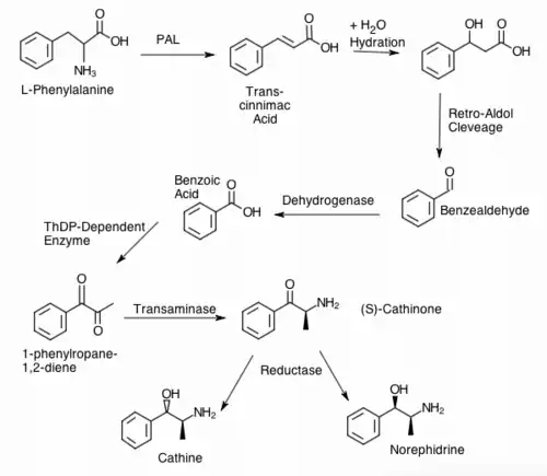
Dans la plante de khat, la biosynthèse de la cathinone s'opère à partir de phénylalanine.

Elle possède deux isomères (+) et (-) et seul ce dernier est présent dans la plante de Khat.
La cathinone est labile et fragile, elle se dégrade facilement en cathine, la (+)norpseudoéphédrine[5], c'est pourquoi les feuilles fraîches contiennent beaucoup plus de cathinone et sont beaucoup plus consommées.
Elle peut être synthétisée et est commercialisée de manière illicite sous forme de comprimés, vendus pour des propriétés excitantes et supposément aphrodisiaques.
Modes d'administration[2]
On compterait actuellement en France une cinquantaine de cathinones sur le marché des drogues de synthèse. Les cathinones sont commercialisées sous forme de poudres, de comprimés ou de gélules[2] par des réseaux organisés.
La voie d’administration peut être intraveineuse, orale, nasale, pulmonaire, intrarectale, voire oculaire[2].
Pharmacologie
La cathinone a un mécanisme d'action semblable à l'amphétamine et des effets globalement similaires[6].
Les cathinones agissent comme de puissants stimulants du système nerveux central. Ces substances ont notamment un effet euphorisant et augmentent l’endurance. Elles sont entactogènes, en ce sens qu’elles altèrent le consentement[2].
En se propageant dans le système nerveux central, elle active les neurones dopaminergique et sérotoninergique en purgeant ses réservoirs et bloquant la recapture de la dopamine et de la sérotonine, entraînant ainsi des taux compris entre 800 % et 920 % de dopamine et entre 130 % et 200 % de sérotonine dans les fentes synaptiques.
La libération massive de dopamine dans les fentes synaptiques des neurones procure un effet plaisir intense.
La libération massive de sérotonine agissant quant à elle sur le sentiment de renforcement du « bonheur » de l'individu.
Ces effets directs sur le cerveau entraînent plusieurs effets.
Effets
- Les paramètres physiologiques d’une personne sont des indicateurs de la santé et de la performance de l’organisme dans la réalisation des activités vitales, physiques et psychiques. Toute modification de l’état de conscience et de l’état physiologique par la prise de psychotropes ou des psycho stimulants, sans raison médicale, sans prescription médicale pour traiter une maladie peut entraîner des troubles cognitifs et entraîner des problèmes neurologiques, puis des désordres dans le fonctionnement vital du corps.
- Euphorie ; déréalisation, surestimation des capacités physiques et mentales. Sentiment d’invincibilité.
- Désinhibition, perte des repères sociaux.
- Perte des repères physiologiques d’endurance. Inversion du couple catabolisme anabolisme.
- Diminution de l’appétit et de la capacité à ressentir la fatigue.
- Pulsions sexuelles incontrôlées sans relation sensible avec le partenaire.
- Une simple première consommation ou une surdose peut entraîner une agitation extrême, un délire, et une température corporelle élevée, une crise cardiaque ou un accident vasculaire cérébral potentiellement mortels[7].
- Des viols dans un état de conscience et de volonté altéré sont possibles.
- certains comprimés peuvent contenir des substances dont la toxicité peut ne pas être perçue par un consommateur à la conscience ou à la volonté altérée.
Notes et références
- ↑ Masse molaire calculée d’après « Atomic weights of the elements 2007 », sur www.chem.qmul.ac.uk.
- 1 2 3 4 5 Marc Gozlan, « Drogues et sexe : ce que l’on sait du chemsex en France », sur Réalités Biomédicales, (consulté le )
- ↑ Kalix P., Cathinone, a natural amphetamine, Pharmacol. Toxicol., 1992, 70:77-86.
- ↑ Banque mondiale, Comprendre la dynamique du khat à Djibouti. Aspects sociaux, économiques et de santé, rapport no 62823 DJ, lire en ligne, sur documents.worldbank.org.
- ↑ (en) Chappell J.S., « Cathinone preservation in khat evidence via drying », Forensic Science International, (lire en ligne).
- ↑ (en) Widler P., Mathys K., Brenneisen R., Kalix P. et Fisch H.U., « Pharmacodynamics and pharmacokinetics of khat: a controlled study », Clin. Pharmacol. Ther., (lire en ligne).
- ↑ Bentur Y., Bloom-Krasik A. et Raikhlin-Eisenkraft B., Illicit cathinone (Hagigat) poisoning, Clin. Toxicol., 2008, 46, 206-210.
Voir aussi
- Portail de la chimie

