Compresseur (audio)
.jpg)
Un compresseur est un appareil de traitement du son destiné à réduire la dynamique du signal. C'est un effet audio qui réduit le niveau des parties du signal qui dépassent durablement un seuil déterminé par l'utilisateur.
Les compresseurs se présentent sous forme matérielle comme une unité rackable, une pédale d'effet, un module intégré à une console de mixage analogique, ou sous forme logicielle comme plug-in audio de station audio-numérique.
Principe
Un compresseur est un amplificateur dont le gain varie, relativement lentement, selon la valeur du signal à son entrée.
Rapport et seuil de compression


Le compresseur réduit le niveau du signal audio quand son amplitude dépasse un certain seuil (threshold), dans le rapport de compression (ratio) choisi. Il transmet tel quel un signal dont le niveau est constamment en dessous du seuil ; il atténue un signal de niveau constant au-dessus du seuil de telle sorte que le niveau augmente ratio fois moins vite que celui d'un signal non traité.
Pour des signaux de niveau constant, cela revient à :
- où E et S sont les niveaux des signaux d'entrée et de sortie exprimés en décibels, T le niveau du seuil (threshold), et R le rapport de compression (ratio).
Un compresseur à un rapport de 4:1 avec un seuil à 0 dB agit ainsi :
- Un signal dont le niveau ne dépasse jamais 0 dB n'est pas modifié.
- Un signal de niveau constant 10 dB est réduit à 10÷4 = 2,5 dB.
- Un signal de niveau constant 16 dB est réduit à 16÷4 = 4 dB.
De même, avec un seuil à −10 dB :
- Un signal dont le niveau ne dépasse pas −10 dB n'est pas modifié.
- Un signal de niveau constant −6 dB est 4 dB au-dessus du seuil ; il est donc réduit à -10 + (4÷4) = −9 dB.
- Un signal de niveau constant 0 dB est 10 dB au-dessus du seuil ; il est donc réduit à -10 + (10÷4) = −7,5 dB.
- Un signal de niveau constant 10 dB est 20 dB au-dessus du seuil ; il est donc réduit à -10 + (20÷4) = −5 dB.
Les compresseurs présentent généralement des modulomètres qui indiquent les niveaux d'entrée et de sortie, ainsi que la réduction de gain courante.
Attaque et retour

Ces relations valent pour des signaux constants. L’intérêt du compresseur réside dans le fait qu'il agit avec des délais pour l'attaque, au dépassement du seuil, et pour le retour, quand le niveau revient en dessous du seuil.
La compression peut affecter le son discrètement ou de manière très audible et caractéristique, bénéfique ou adverse. Par exemple, si le signal comporte une partie à fort niveau, très variable, comme une voix humaine, et une partie à faible niveau, presque stable, comme un bruit de fond on entend cette dernière « pomper », regagnant son volume normal progressivement pendant le délai de retour après chaque passage fort de la partie variable.
La plupart des compresseurs donnent la possibilité d'agir sur deux réglages :
- Temps d'attaque (attack)
- c'est la constante de temps dans le sens de la montée du signal que le circuit compare au seuil (threshold) pour déclencher la réduction de gain. Des temps d'attaque longs permettent d'intervenir sur le signal de manière subtile/inaudible mais laissent les attaques dépasser largement le seuil. À l’inverse, des temps d'attaque courts « s'entendent » plus mais garantissent mieux que le signal n'atteint pas des niveaux excessifs.
- Temps de retour (release)
- c'est la constante de temps dans le sens de la descente du même signal, retardant le retour du compresseur à son état neutre.
Si les temps d'attaque et de retour sont très brefs, l'amplificateur distord le signal, au profit de la réduction de la dynamique. Tout le dispositif n'est qu'un amplificateur non linéaire. Avec un ratio infini (noté ∞), et des temps d'attaque et de retour nuls, l'amplificateur effectuerait un écrêtage.
Si les temps d'attaque et de retour sont longs, le gain de l'amplificateur ne change que lentement, et il n'y a aucune distorsion.
Si le temps d'attaque est très bref et que le temps de retour est long, il n'y a de distorsion que dans les transitoires, à l'instant où le compresseur intervient ; mais le niveau de toute partie qui suit un passage fort se trouve réduit.
Si le temps d'attaque est moyen, le compresseur n'atténue pas les attaques des sons, mais réduit les sons forts qui se prolongent.
Courbes de seuil

Le knee (littéralement le genou) est le point de jonction entre le comportement linéaire du compresseur (pas de compression, sortie = entrée), et le début de la compression, situé au niveau du seuil.
Le « soft knee » (transition douce) permet une entrée en action plus progressive du compresseur et paramétrable, le « coude » est arrondi. Les signaux un peu plus faibles que le seuil sont déjà légèrement réduits, ceux qui sont seulement un peu au-dessus du seuil sont moins affectés que ceux qui sont largement au-dessus. Le « hard knee » fait référence au comportement classique d'un compresseur.
Fonctionnement
Circuit analogique
Un circuit donne la valeur moyenne ou la valeur efficace du signal d'entrée. Ce signal d'enveloppe est comparé à un seuil (threshold). La sortie d'un comparateur est à zéro en dessous du seuil, et est égale au signal d'enveloppe au-dessus. Cette sortie charge un condensateur à travers une diode et une résistance variable que règle l'utilisateur. Cette résistance étiquetée attack (attaque) constitue avec le condensateur une constante de temps de charge qui détermine la rapidité de l'action du compresseur. Le condensateur se décharge à travers une autre résistance, également ajustée par l'utilisateur, étiquetée release (temps de relâchement). Ce circuit résistance-condensateur détermine une deuxième constante de temps, qui détermine la rapidité du retour à zéro après un dépassement du seuil.
L'élément qui traite le signal est un amplificateur contrôlé en tension (VCA), c'est-à-dire un amplificateur dont le gain, au lieu d'être réglé par un potentiomètre, dépend de la tension présente à une entrée spéciale dite entrée de contrôle. Dans le compresseur, l'entrée de contrôle est reliée aux bornes du condensateur par un amplificateur dont l'utilisateur peut régler le gain avec un potentiomètre étiqueté ratio, de telle sorte que quand la tension à ce point est nulle, le gain est nominal, et quand elle augmente, le gain diminue, atténuant le signal. L'utilisateur peut contrôler ce gain nominal par un potentiomètre étiqueté make-up gain (gain de compensation).
Applications
Augmentation du volume
En production audiovisuelle, radiophonique ou publicitaire, le compresseur s'utilise pour rehausser le niveau général, jusqu'à même en abuser dans le cadre de la guerre du volume.
En effet, une trop grande dynamique sonore n'est pas adaptée aux conditions d'écoute quotidienne du grand public. Dans une automobile par exemple, on n'a pas le même calme que dans une salle de concert. Il faut donc éviter les passages trop faibles (pianissimo), qu'on n'entend pas puisque couverts par le bruit ambiant. Même dans l'écoute en auditorium, des études ont mis en évidence une préférence pour une dynamique compressée[1]. Une des explications avancées est que l'audition humaine perçoit bien mieux toutes les fréquences à un certain niveau[a]. Pour en tenir compte, on a conçu des compresseurs qui agissent différemment par bandes de fréquence. Prévus pour l'étape finale de la diffusion, on les appelle finalizer ou maximizer.
Production musicale
.jpg)
En création musicale, le compresseur est utilisé pour obtenir une sonorité plaisante (par exemple ajouter du sustain à une guitare électrique ou à une basse, ou pour réduire la dynamique et égaliser le volume sonore entre les différentes techniques de jeu, notamment à la guitare électrique rythmique en son clair en funk).
Il est également utilisé en mixage afin de limiter un instrument à une fenêtre de dynamique réduite, sans qu'il couvre la voix du chanteur ou qu'il disparaisse derrière elle[b].
Au mastering, on utilise le compresseur pour réduire la dynamique et enregistrer de façon optimale en évitant les niveaux dépassant la limite (distorsion et clipping).
Production audiovisuelle
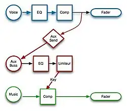
En production audiovisuelle, le compresseur sert très souvent pour le mixage des sons enregistrés en cabine ou en auditorium, avec peu de bruit de fond, et notamment des voix off et de l'interprétation simultanée. Le compresseur se place dans le canal du premier mélange, avec une sortie du canal de la voix off à son entrée de contrôle (side-chain). La modulation de la voix off contrôle le niveau du fond sonore, ce qui assure qu'elle est toujours entendue distinctement. Le son d'origine s'abaisse quand le niveau de la nouvelle voix s'élève (ducking).
Autres Caractéristiques
Couplage entre plusieurs compresseurs
Le couplage (Stereo Linking) entre deux compresseurs consiste à appliquer les mêmes réglages et le même signal de référence, à la fois aux canaux gauche et droit.
Ceci pour empêcher que l'image stéréo ne dévie (ou flotte) latéralement. Ce qui se produit si chaque canal est compressé individuellement et dans le cas où la compression sur un canal est plus forte que celui de l'autre.
Le chaînage peut être réalisé de deux manières :
- Soit en mesurant la somme des deux compresseurs mono en entrée.
- Soit le compresseur calcule d'une façon indépendante pour chaque canal et puis applique la réduction de gain la plus élevée aux deux compresseurs[2]).
Plus généralement, le couplage multicanal consiste à chaîner les commandes de plusieurs compresseurs dans le cas d'un enregistrement ou d'un mixage multicanal[c].
Makeup gain (compensation de gain)
Le Makeup gain (rattrapage de gain). Le compresseur réduit le niveau moyen du signal, puisqu'au-dessus du seuil il l'atténue. Le make-up gain permet de compenser cette perte de niveau due à de fortes compressions.
Look-ahead (pré lecture)
Le look-ahead (lit.: voir en avant) est conçu pour résoudre à temps le problème de la détection des transitoires d'attaque.
Le look-ahead permet d'obtenir de bons compromis entre les temps d'attaque lents qui laissent passer les transitoires d'attaque, et les taux d'attaque rapide capable de capturer les transitoires. Une grosse transitoire peut avoir pour conséquence un trop fort taux de compression audible et non désiré ainsi que des distorsions.
Le signal d'entrée est divisé en deux, et un côté est retardé de quelques millisecondes. La partie du signal non retardée est utilisée pour détecter, commander la compression du signal retardé, ce qui apparaît alors à la sortie. Cette technique permet un bon compromis. Le prix à payer de cette solution est que le signal est retardé de quelques millisecondes.
Cette technique permet, en numérique, un temps d'attaque égal à zéro (brick-wall). En analogique, sur le magnétophone, une tête de prélecture ou une ligne à retard conduisent au même résultat.
Side-chain (commande extérieure)

La technique du Side-chain a pour principe d'utiliser un signal externe (« key »), lequel va déclencher (« trigger ») l'action du compresseur en fonction du niveau de ce signal extérieur.

C'est aussi une technique pouvant être utilisée par les disc jockeys pour faire du « ducking »[d] ainsi, éventuellement, qu'au cinéma, la radio et la télévision lors de l'utilisation d'une voix off ou de tout autre signal dont le niveau doit rester dominant.
Dans la musique électronique, l'utilisation de la technique du Side-chain, (par exemple: sur une piste de basse ou sur une piste de synthétiseur permet au compresseur de ne s'activer qu'à chaque coup de grosse caisse, afin de ne pas masquer ce dernier. L'effet qui en résulte est une sensation d'aspiration (effet de pompage) de la piste compressée. On le retrouve beaucoup dans la musique dite French Touch.
Un circuit de détection avec Égaliseur, peut aussi être utilisé pour réduire le volume des signaux qui ont un fort contenu spectral dans certaines bandes de fréquences comme le dé-esseur.
Autres types de compresseurs
Limiteur

Compresseur et limiteur ne sont pas différents dans le principe. Le limiteur est un compresseur ayant un ratio élevé et, généralement, un temps d'attaque court. La plupart des ingénieurs du son considèrent qu'à partir d'un taux de compression de 10:1 ou plus, le compresseur devient un limiteur[3].
- Limiteur dit Brick wall limiteur Celui-ci a un très haut ratio de compression et un temps d'attaque très court. Il est utilisé, par exemple, en diffusion comme dispositif de protection des émetteurs.
Certains appareils électroniques grand public intègrent des limiteurs. Sony utilise un Automatic Volume Limiter System (AVLS), sur certains de ses produits grand public PlayStation Portable, On trouve aussi ce genre de circuits dans les décodeurs télévision chez le téléspectateur Set-top box.
Compression parallèle
La compression parallèle (en) est obtenue par le mélange du signal, à l'état brut ou légèrement compressé, avec une version très compressée du même signal[4]. Historiquement, cette technique a été utilisée par certains ingénieurs du son en concert et en enregistrement comme un effet artistique dénommé « compression New-yorkaise » ou « compression Motown ». Combiner le signal d'origine avec sa variante compressée puis réduire le gain du mélange par une deuxième compression a pour conséquence d'augmenter les détails des bas niveaux sans pour autant, réduire les crêtes (puisque le compresseur va renforcer significativement le gain uniquement aux niveaux faibles).
Compression en série
La compression en série est une technique utilisée à l'enregistrement sonore et au mixage. La compression en série est réalisée en utilisant deux ou plusieurs différents compresseurs l'un derrière l'autre, simultanément ou aux diverses étapes de la chaîne sonore (enregistrement, mixage, mastering, diffusions).
Le premier compresseur généralement stabilise la dynamique sonore avec un rapport de compression faible comme 1,8:1, tandis que le second sera plus agressif avec un ratio de 4:1 par exemple.
De-esser
De-esseur large bande
De-esseur multibande
De-esseur correction dynamique
Le De-esseur (de-esser en Anglais) utilise souvent un compresseur n'agissant que sur certaines bandes de fréquences, en général aiguës. Il y a, grosso modo, trois modes de fonctionnement:
- Large bande (à partir d'une certaine fréquence)
- Multibandes (pour une bande de fréquences déterminée)
- Dynamique
En général il est utilisé pour diminuer les trop grandes énergies dans les fréquences au-dessus de 7 kHz, Il peut agir aux alentours de la fréquence centrale de 4 kHz afin de diminuer les chuintantes.
Compression multibandes

Le compresseur multibande peut agir de façons différentes sur plusieurs bandes de fréquences prédéfinies.
Le compresseur multibande commence par diviser le signal à l'aide d'un nombre de filtres passe-bande (ou filtres cross-over). Les gammes de fréquences peuvent être réglables. Chaque signal est traité par son propre compresseur et a ses réglables spécifiques. Les signaux sont ensuite à nouveau mélangés.
Le compresseur multibandes, couplé avec un limiteur a, historiquement d'abord, été utilisé pour les émetteurs de radio et de télévision afin d'éviter de les surcharger. Il est aussi utilisé avec des consoles ou des stations audio-numériques pour le mixage final et particulièrement en multicanal (5.1).
Correcteur de dynamique

Certains outils combinent différents effets jouant sur la dynamique sonore[5]. Cela permet, grâce à une unique interface, d'appliquer des compressions, de limiter, d'appliquer un noise gate, d'ajouter de la dynamique, et même de l'inverser (les sons forts deviennent faibles et les sons faibles deviennent fort. Ce qui a pour effet une sorte d'aspiration sonore).
True Peak Limiteur
Un nouveau type d'algorithme permet de limiter les crêtes vraies[6] en relation avec les nouvelles normes de diffusion numérique, conformément à la Recommandation UIT-R BS.1770 et la normes EBU R128.
Peak vs (versus) RMS
La détection d'un pic de niveau du signal peut produire des changements très rapides dans la réduction du gain, une compression trop audible (une sensation d'écrasement) ou parfois même de la distorsion. Certains compresseurs appliquent une fonction de détection du signal dite moyenne valeur efficace (dite aussi valeur RMS, de l'anglais Root Mean Square, ou moyenne quadratique)[réf. nécessaire].
Cela permet une compression moins sensible et plus étroitement liée à notre perception de l'intensité sonore.
Influence de la compression dynamique sur la qualité
La croyance que la compression réduit la qualité du son est assez répandue, et pourtant l'usage de la compression dans le processus de fabrication des enregistrements commerciaux ou de télévision est universel. En 2014, le Journal of the Audio Engineering Society a publié deux études visant à examiner cette opinion. Dans la première[7], les auteurs ont demandé à un groupe de personnes leurs appréciations sur un ensemble d'enregistrements de musique populaire, en version originale et en version avec de plus forts niveaux de compression. Les résultats n'ont mis en évidence aucune dégradation selon les critères de préférence. Il semble que les auditeurs soient moins sensibles que ce que l'on croyait à la compression, même à des niveaux élevés, et que la compression n'ait guère d'autre effet que d'augmenter le niveau sonore moyen. Ce résultat pourrait venir du mixage de la musique populaire, qui inclut d'autres traitements du signal.
Dans un second article du même numéro[8], les auteurs s'intéressent à la macro-dynamique, c'est-à-dire à l'évolution du niveau sonore délibérée, pour laquelle les compresseurs n'agissent pas. Analysant les productions récentes, ils constatent que malgré l'impact de la compression sur la dynamique instantanée, donnant un niveau moyen plus élevé, on trouve toujours des fortissimo et des pianissimo dans la musique récente. La fatigue auditive, que l'on constate et que l'on attribue souvent aux caractéristiques de la musique enregistrée moderne, pourrait plutôt venir de la modification de la micro-dynamique, assez mal définie, et liée aux compresseurs.
L'influence de la compression est étudiée sur la base de cinq descripteurs du signal: le niveau quadratique moyen ou RMS, la sonie dite integrated loudness suivant la recommandation EBU3341/R128[9], le facteur de crête, le Loudness Range ou LRA suivant la recommandation EBU3342[10], et la densité d'échantillons à 0dB Full-Scale, c'est-à-dire le nombre d'échantillons possiblement clippés ou saturés. La puissance RMS rend compte du niveau physique, et la sonie EBU3341 du niveau perceptif. Le facteur de crête, c'est-à-dire la différence entre le niveau crête et le niveau quadratique moyen a parfois été utilisé comme base de mesure de la micro-dynamique du signal, comme dans le plug-in de mesure TT Dynamic Range Meter[11],[12]. Enfin, le EBU3342 loudness range, littéralement « gamme de sonie », est régulièrement utilisé en tant que mesure de la macro-dynamique ou de la dynamique au sens musical (nuances)[13],[14],[15],[16].
Limiteurs
L'étude constate l'influence suivante des limiteurs testés sur le signal :
- augmentation du niveau quadratique moyen (RMS) ;
- augmentation de la sonie EBU3341 ;
- diminution du facteur de crête ;
- diminution du LRA EBU3342, mais seulement pour de forts niveaux de limiting ;
- augmentation de la densité de samples à 0dB FS.
En d'autres termes, les limiteurs augmentent les niveaux physiques et perceptifs, la densité d'échantillons à 0dB FS, diminuent le facteur de crête, ainsi que la macro-dynamique pour autant que le traitement soit suffisamment marqué.
Compresseurs
En ce qui concerne les compresseurs, l'étude considère deux réglages distincts, l'un impliquant un temps d'attaque faible (0,5 ms) et l'autre un temps d'attaque élevé (50 ms). La compensation de gain est désactivée et le fichier résultant est normalisé.
Moyennant l'utilisation d'un temps d'attaque rapide, l'étude constate l'influence suivante des compresseurs testés sur le signal :
- légère augmentation du niveau quadratique moyen (RMS) ;
- légère augmentation de la sonie EBU3341 ;
- diminution du facteur de crête ;
- diminution du LRA EBU3342 ;
- légère diminution de la densité d'échantillons à 0dB FS.
En d'autres termes, les compresseurs à temps d'attaque rapide augmentent les niveaux physiques et perceptifs, mais de manière modérée. Ils diminuent la densité de samples à 0dB FS, et diminuent de concert le facteur de crête et la macro-dynamique.
Moyennant l'utilisation d'un temps d'attaque lent, l'étude constate l'influence suivante des compresseurs testés sur le signal :
- diminution du niveau quadratique moyen (RMS) ;
- diminution de la sonie EBU3341 ;
- pas d'influence sur le facteur de crête ;
- diminution du LRA EBU3342 ;
- pas d'influence sur la densité de samples à 0dB FS.
En d'autres termes, les compresseurs à temps d'attaque lent augmentent les niveaux physiques et perceptifs, diminuent la macro-dynamique, mais n'ont pas d'influence sur le facteur de crête et la densité d'échantillons à 0dB FS.
Voir aussi
Bibliographie
- Alain Fromentel, « Les périphériques », dans Denis Mercier (direction), Le livre des techniques du son, tome 2 - La technologie, Paris, Eyrolles, , p. 189-226 section 2 « Modification de la dynamique » p. 193-199.
Articles connexes
Liens externes
- (en) « Dynamic range compression »(Archive.org • Wikiwix • Archive.is • Google • Que faire ?) (consulté le ). CCMA (Center for Computer Research in Music and Acoustics).
- (fr) Un article qui explique étape par étape, comment fonctionne la compression audio avec du texte et de la vidéo.
- (fr) Qu'est ce que la compression mulitbandes ? Un guide complet.
Notes et références
- ↑ Les courbes isosoniques expriment la relation entre la sensibilité et la pression acoustiques.
- ↑ Une des techniques utilisées peut être celle du side-chain.
- ↑ Sur certains compresseurs multicanaux il est possible de choisir plusieurs modes de couplage.
- ↑ Le « ducking » est un effet permettant de réduire le niveau d'un signal en la présence un autre signal.
- ↑ (en) Earl Vickers, « The Loudness War: Do Louder, Hypercompressed Recordings Sell Better? », Journal of the Audio Engineering Society, vol. 59, no 5, , p. 346.
- ↑ voir (en) UAD Powered Plug-Ins, User Manual, Version 4.10, Fairchild 670 section A, p. 133
- ↑ www.tcelectronic.com/media/droney_massey_2001_compres.pdf
- ↑ (en-GB) « Q. What does 'parallel compression' mean? | », sur www.soundonsound.com (consulté le )
- ↑ Par exemple l'Omnipressor d'Eventide
- ↑ voir l'article de (en) Søren H. Nielsen et Thomas Lund, « 0dBFS+ levels in Digital Mastering », AES Preprint,
- ↑ (en) Jens Hjortkjær et Mads Walther-Hansen, « Perceptual Effects of Dynamic Range Compression in Popular Music Recordings », Journal of the AES, vol. 62, nos 1-2, , p. 37-41 (lire en ligne)
- ↑ (en) Emmanuel Deruty et Damien Tardieu, « About Dynamic Processing in Mainstream Music », Journal of the AES, vol. 62, nos 1-2, , p. 42-55 (lire en ligne)
- ↑ (en) European Broadcasting Union, « Loudness Metering: ‘EBU Mode’ metering to supplement loudness normalisation in accordance with EBU R 128 »
- ↑ (en) European Broadcasting Union, « Loudness Range: A measure to supplement loudness normalisation in accordance with EBU R 128 »
- ↑ (en) Earl Vickers, « The Loudness War: Background, Speculation and Recommendations », AES 2010: Paper Sessions: Loudness and Dynamics, Audio Engineering Society, San Francisco, (consulté le )
- ↑ (en) « Dynamic Range Meter »(Archive.org • Wikiwix • Archive.is • Google • Que faire ?)
- ↑ (en) Emmanuel Deruty, « 'Dynamic Range' & The Loudness War », Sound on Sound, (lire en ligne, consulté le )
- ↑ (en) Joan Serrà, Álvaro Corral, Marián Boguñá, Martín Haro et Josep Ll. Arcos, « Measuring the Evolution of Contemporary Western Popular Music » [« Mesure de l'évolution de la musique populaire occidentale contemporaine »], Scientific Reports, vol. 2, (DOI 10.1038/srep00521, lire en ligne, consulté le )
- ↑ (en) Jens Hjortkjær et Mads Walther-Hansen, « Perceptual Effects of Dynamic Range Compression in Popular Music Recordings », Journal of the Audio Engineering Society, (lire en ligne, consulté le )
- ↑ (en) Esben Skovenborg, « Loudness Range (LRA) – Design and Evaluation », AES 132nd Convention, (lire en ligne, consulté le )
- Portail de la musique
- Portail de la musique électronique
- Portail du cinéma