Couplage de Negishi
Le couplage de Negishi est une réaction chimique de couplage carbone-carbone, d'un dérivé halogéné sur un composé organozincique R-Zn-X. Elle est généralement catalysée par un complexe de palladium de degré d'oxydation nul.
Elle doit son nom à son inventeur, le chimiste japonais prix Nobel de chimie 2010 Ei-ichi Negishi de l'Université Purdue.
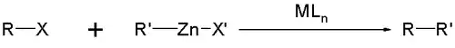
Équation générale
- Le premier halogénure X peut être un chlorure, bromure ou iodure mais aussi un groupe triflate ou acétyloxy avec un résidu organique R alkényl, aryle, allyle, alcynyl ou propargylique.
- L'halogénure X' du composé organozinc peut être un chlorure, bromure ou iodure et le résidu organique R' est un alkényl, aryle, allyle ou alkyle.
- Le métal M du catalyseur est du nickel ou du palladium
- Le ligand L dans le catalyseur peut être un triphénylphosphine, dppe (= 1,2-bis(diphénylphosphino)éthane), BINAP (= 2,2'-bis(diphénylphosphino)-1,1'-binaphthyl) ou chiraphos
Mécanisme de réaction
Articles connexes
- Portail de la chimie