Développement (mathématiques)

En mathématiques, le développement d'une expression est un procédé inverse de la factorisation, de portée toutefois plus limitée que celle-ci : alors qu'on parle de factorisation aussi bien pour les nombres entiers que pour les polynômes, par exemple, on ne parle pas de développement des nombres entiers ; cette notion nécessite en effet de travailler dans une algèbre. À l'issue d'un développement, on obtient une forme dite forme développée.
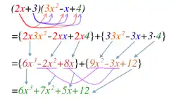
Le développement d'une expression se fait comme la factorisation à l'aide des règles de distributivité, utilisées dans l'autre sens :
Règle de base — Si a, b et c sont trois éléments d'un anneau, alors
- et .
Produit de sommes — Si a, b, c et d sont quatre éléments d'un anneau, alors
Cette deuxième règle permet par exemple de trouver la forme développée du polynôme (2x +1)(3x +5) :
Le développement est toutefois algorithmiquement plus simple que la factorisation, aussi bien à un niveau scolaire que lorsqu'il s'agit de problèmes plus avancés comme le traitement de polynômes à plusieurs indéterminées.
Voir aussi
- Portail de l’algèbre