Dibenzylidèneacétone
| Dibenzylidèneacétone | |
| |
| Identification | |
|---|---|
| Nom UICPA | (1E,4E)-1,5-diphénylpenta-1,4-dién-3-one |
| No CAS | |
| No ECHA | 100.126.050 |
| PubChem | 1549622 |
| Propriétés chimiques | |
| Formule | C17H14O [Isomères] |
| Masse molaire[1] | 234,292 5 ± 0,014 9 g/mol C 87,15 %, H 6,02 %, O 6,83 %, |
| Unités du SI et CNTP, sauf indication contraire. | |
La dibenzylidèneacétone ou dibenzalacétone, abrégé en dba, est un composé organique.
C'est un solide de couleur jaune vif qui est insoluble dans l'eau, mais soluble dans l'éthanol. La dibenzylidèneacétone est utilisée dans la composition de crème solaire et comme ligand dans la chimie organométallique, par exemple dans du tris (dibenzylidèneacétone) dipalladium (0). Dans ce cas, c'est un ligand labile qui est facilement déplacé par des ligands plus forts comme la triphénylphosphine, où il sert de point d'entrée utile dans la chimie du palladium(0).
Préparation
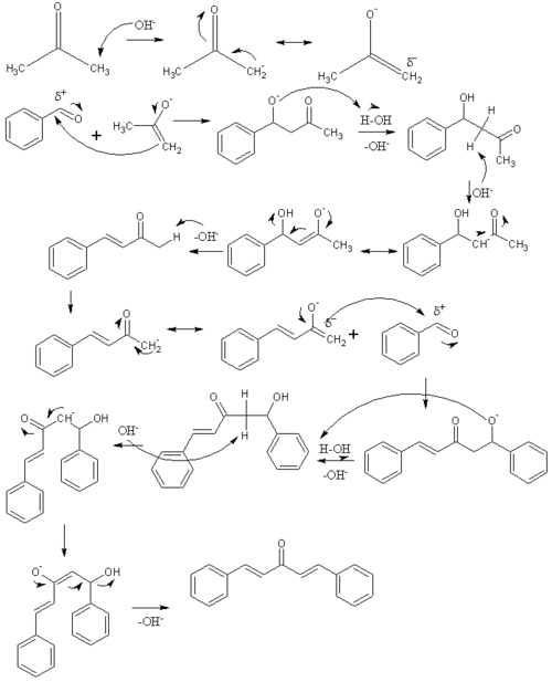
Le composé peut être préparé en laboratoire par une condensation aldolique du benzaldéhyde et de l'acétone avec de l'hydroxyde de sodium dans un mélange 50/50 eau / éthanol formant exclusivement l'isomère trans, trans (point de fusion 113 °C).
Cette réaction est fréquemment rencontrée en cours de chimie organique comme procédure de laboratoire. La conversion se déroule via l'intermédiaire benzylidèneacétone .
Une exposition prolongée à la lumière solaire convertit le composé par [2 + 2] cycloaddition en un mélange de quatre isomères de cyclobutane.
Références
- (en) Cet article est partiellement ou en totalité issu de l’article de Wikipédia en anglais intitulé « Dibenzylideneacetone » (voir la liste des auteurs).
- ↑ Masse molaire calculée d’après « Atomic weights of the elements 2007 », sur www.chem.qmul.ac.uk.
- Portail de la chimie


