Diphacinone
| Diphacinone | |
| |
| Identification | |
|---|---|
| Nom UICPA | 2-(2,2-diphénylacétyl)-1H-indène-1,3(2H)-dione |
| Synonymes |
diphénadione, (diphénylacétyl)-2 indanedione-1,3, 2-(diphénylacétyl)indane-1,3-dione, 2-(diphénylacétyl)-1H-indène-1,3(2H)-dione, 2-diphénylacétyl-1,3-dicétohydrindène, 2-diphénylacétyl-1,3-indanedione |
| No CAS | |
| No ECHA | 100.001.304 |
| Code ATC | B01 |
| PubChem | 6719 |
| SMILES | |
| InChI | |
| Apparence | solide cristallin, jaune pâle[1] |
| Propriétés chimiques | |
| Formule | C23H16O3 [Isomères] |
| Masse molaire[2] | 340,371 3 ± 0,020 4 g/mol C 81,16 %, H 4,74 %, O 14,1 %, |
| Propriétés physiques | |
| T° fusion | 146,5 °C[1] |
| Solubilité | 0,0003 g/L (eau, 20 °C)[1] |
| Données pharmacocinétiques | |
| Stockage | conserver dans un endroit sombre |
| Unités du SI et CNTP, sauf indication contraire. | |
La diphacinone, ou diphénadione[1], est un dérivé de l'indane-1,3-dione. C'est un anticoagulant qui fonctionne comme un antagoniste de la vitamine K et qui est utilisé comme rodenticide.
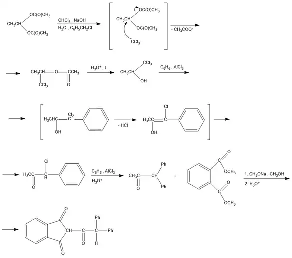
Synthèse

Propriétés
La diphacinone agit en perturbant les facteurs de coagulation des rongeurs, ce qui produit des hémorragies internes mortelles. La diphacinone agit sur de nombreux mammifères. Plusieurs doses de poisons doivent être absorbées pour tuer un animal. Son antidote est la vitamine K1[3].
Ce composé est instable à la lumière[1]. En présence de graisse, il est absorbé par la peau[4].
Notes et références
- 1 2 3 4 5 (Diphenylacetyl)-2 indandione-1,3, sur le site de la Commission de la santé et de la sécurité du travail (CSST)
- ↑ Masse molaire calculée d’après « Atomic weights of the elements 2007 », sur www.chem.qmul.ac.uk.
- ↑ Organisation des Nations unies pour l'alimentation et l'agriculture, Rodenticides : analyses, normes, préparations utilisées en santé publique et en agriculture, Organisation des Nations unies pour l'alimentation et l'agriculture, , 75 p. (ISBN 978-92-5-200798-2, lire en ligne)
- ↑ (ru) Рыльников В.А., Заева Г.Н.и др., Методические указания по применению родентицидного средства "Ратиндан" фирмы "Олайнфарм" (Латвия).
- Portail de la chimie
- Portail de la pharmacie
- Portail de la protection des cultures
- Portail de l’hématologie
