Diphosgène

Diphosgène
Image illustrative de l’article Diphosgène
Diphosgène
Identification
Nom UICPA carbonochlorurate de trichlorométhyle
Synonymes

chloroformiate de trichlorométhyle

No CAS 503-38-8
No ECHA 100.007.242
No RTECS LQ7350000
PubChem 10426
SMILES
InChI
Apparence liquide
Propriétés chimiques
Formule C2Cl4O2  [Isomères]
Masse molaire[1] 197,832 ± 0,01 g/mol
C 12,14 %, Cl 71,68 %, O 16,17 %,
Thermochimie
Cp
Précautions
Directive 67/548/EEC
Très toxique
T+

Unités du SI et CNTP, sauf indication contraire.

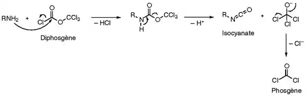
Le diphosgène est un équivalent liquide du phosgène gazeux. Son nom suggère qu'il correspond à deux molécules de phosgène, ce qui est le cas car la réaction d'un nucléophile avec une molécule de diphosgène libère une molécule de phosgène dans le milieu réactionnel :

Réaction entre une amine et le diphosgène..

Le diphosgène a été utilisé comme gaz de combat par l'armée allemande pendant la guerre 1914-1918, il était connu en France sous le nom de supralite et de perstoff en Allemagne.

Articles connexes

Notes et références

  1. Masse molaire calculée d’après « Atomic weights of the elements 2007 », sur www.chem.qmul.ac.uk.
  2. (en) Carl L. Yaws, Handbook of Thermodynamic Diagrams : Organic Compounds C8 to C28, vol. 1, 2 et 3, Huston, Texas, Gulf Pub. Co., , 396 p. (ISBN 0-88415-857-8, 0-88415-858-6 et 0-88415-859-4)
  • icône décorative Portail de la chimie
  • icône décorative Portail de la Première Guerre mondiale