Dodécénoyl-coenzyme A isomérase
Dodécénoyl-CoA isomérase
| N° EC | EC |
|---|---|
| N° CAS |
| IUBMB | Entrée IUBMB |
|---|---|
| IntEnz | Vue IntEnz |
| BRENDA | Entrée BRENDA |
| KEGG | Entrée KEGG |
| MetaCyc | Voie métabolique |
| PRIAM | Profil |
| PDB | RCSB PDB PDBe PDBj PDBsum |
| GO | AmiGO / EGO |
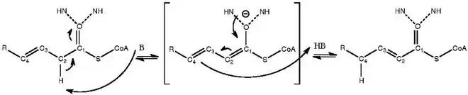
La dodécénoyl-CoA isomérase, également appelée 3,2-trans-énoyl-CoA isomérase, est une isomérase qui catalyse la conversion de doubles liaisons cis ou trans d'acides gras sur l'atome de carbone no 3 en une double liaison trans en position 2 (carbone β). Elle joue un rôle important dans la dégradation des acides gras insaturés.
Notes et références
- Portail de la biochimie
