Jeu d'Ehrenfeucht-Fraïssé
En logique mathématique, et notamment en théorie des modèles finis, le jeu d'Ehrenfeucht-Fraïssé (aussi appelé jeu du va-et-vient[réf. nécessaire]) est une technique pour déterminer si deux structures sont élémentairement équivalentes, c'est-à-dire savoir si elles satisfont les mêmes énoncés de logique du premier ordre. Son nom provient des mathématiciens Andrzej Ehrenfeucht et Roland Fraïssé. La principale application du jeu d'Ehrenfeucht-Fraïssé est de prouver que certaines propriétés ne sont pas exprimables en logique du premier ordre. Cet usage est d'une importance particulière en théorie des modèles finis et dans ses applications informatiques, comme en vérification de modèles et en théorie des bases de données, puisque les jeux d'Ehrenfeucht-Fraïssé sont l'une des rares techniques de la théorie des modèles qui restent valables dans le contexte de modèles finis. Les autres techniques de preuve pour prouver que des énoncés sont inexprimables, tels que le théorème de compacité, ne s'appliquent pas dans les modèles finis.
Principe

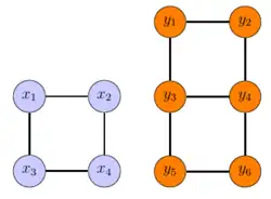
Le jeu d'Ehrenfeucht-Fraïssé se joue sur deux structures et entre deux joueurs appelés spoiler et duplicateur. La figure ci-contre montre deux structures. Le spoiler veut montrer que les deux structures sont différentes, alors que le duplicateur veut montrer qu'elles sont isomorphes. Le jeu est joué en un nombre fini de tours. Un tour se déroule comme suit : d'abord, le spoiler choisit un élément arbitraire de l'une des deux structures, et ensuite le duplicateur choisit un élément de l'autre structure. La tâche du duplicateur est de toujours choisir un élément qui est « similaire » à celui choisi par le spoiler. Par exemple, si le spoiler choisit x1, le duplicateur est tenté de répondre par y1, y2, y6 ou y5, mais a priori pas y3 (et y4) car y3 ne ressemble pas à un coin de carré.
Lorsque tous les tours sont joués, le duplicateur gagne si les éléments choisis dans la première structure forment une structure isomorphe à la restriction aux éléments choisis dans la seconde. Par exemple, si on joue deux tours, voici deux exemples de parties du jeu :
- le spoiler choisit x1, le duplicateur répond par y1, le spoiler choisit y4, le duplicateur répond par x4. Les éléments choisis dans la première structure sont déconnectés (il n'y a pas d'arête entre x1 et x4), de même pour ceux de la seconde structure. Le duplicateur gagne.
- le spoiler choisit x1, le duplicateur répond par y1, le spoiler choisit x2, le duplicateur répond par y3. Les éléments choisis dans la première structure sont connectés (il y a une arête entre x1 et x2), de même pour ceux de la seconde structure. Le duplicateur gagne.
- le spoiler choisit x1, le duplicateur répond par y1, le spoiler choisit x2, le duplicateur répond par y4. Les éléments choisis dans la première structure sont connectés (il y a une arête entre x1 et x2), mais pas dans la seconde structure. Le duplicateur a mal joué et perd.
Description formelle
On suppose données deux structures et , sans symboles de fonction et avec le même ensemble de symboles de relation. On fixe un entier naturel n. Le jeu d'Ehrenfeucht-Fraïssé entre deux joueurs, le spoiler et le duplicateur, se joue comme suit :
- Le spoiler joue en premier et choisit un élément de ou un élément de .
- Si le spoiler a pris un élément de , le duplicateur choisit un élément de ; sinon, le duplicateur choisit un élément de .
- Le spoiler choisit un élément de ou un élément de .
- Le duplicateur choisit un élément ou dans la structure que le spoiler n'a pas choisie.
- Le spoiler et le duplicateur continuent de choisir des éléments dans et jusqu'à obtenir éléments chacun.
- À la fin du jeu, des éléments de et de ont été choisis. Le duplicateur gagne le jeu si l'application est un isomorphisme partiel, et sinon c'est le spoiler qui gagne.
Pour chaque entier n, on définit la relation par la propriété que le duplicateur gagne le jeu à n tours. Il est facile de prouver que si le duplicateur gagne pour tout n, alors et sont élémentairement équivalent. Si l'ensemble des symboles de relations est fini, la réciproque est également vraie.
L'importance du jeu réside dans le fait que si et seulement si et satisfont les mêmes formules du premier ordre de rang de quantificateurs au plus . Ceci fournit un outil efficace[1] pour prouver qu'une propriété n'est pas définissable en logique du premier ordre. Pour cela, on cherche deux familles et de structures telles que toutes les vérifient et aucune des ne la vérifie, et que . Si on suppose que est exprimable par une formule de rang de quantificateurs au plus et que la vérifie, la structure ne la vérifie pas, en contradiction avec les faits que .
Historique
La méthode du va-et-vient utilisée dans le jeu d'Ehrenfeucht-Fraïssé pour vérifier l'équivalence élémentaire a été formulée par Roland Fraïssé dans une note aux Comptes rendus de l'Académie des sciences[2] et dans sa thèse[3]. Elle a été exprimée comme un jeu par Andrzej Ehrenfeucht[4]. Les noms de « spoiler » et « duplicateur » sont dus à Joel Spencer[5]. D'autres noms employés sont Éloise et Abélard (et souvent notés ∃ et ∀) d'après Héloïse et Abélard, une dénomination introduite par Wilfrid Hodges dans son livre Model Theory. Neil Immerman suggère « Samson » et « Delilah », avec les mêmes initiales. Le problème de décider si le duplicateur gagne à un jeu de Ehrenfeucht-Fraïssé est PSPACE-complet[6].
Extensions
On peut définir des variantes aux jeux d'Ehrenfeucht-Fraïssé pour caractériser la définissabilité dans d'autres logiques.
| Logique | Jeu associé |
|---|---|
| Logique du premier ordre | Jeu d'Ehrenfeucht-Fraïssé |
| Logiques de point fixe[7] | |
| logiques à un nombre fini de variables | jeux à jetons (en) |
| logique existentielle du second ordre monadique | Jeu d'Ajtai-Fagin[réf. nécessaire] |
| logique modale | Jeu de bissimilation[8] |
Notes et références
- ↑ Libkin.
- ↑ « Sur une nouvelle classification des systèmes de relations », CRAS, vol. 230, , p. 1022-1024 (lire en ligne).
- ↑ « Sur quelques classifications des systèmes de relations », Publications Scientifiques de l'Université d'Alger série A1, , p. 35-182 — Thèse de doctorat, Université de Paris, 1953
- ↑ Andrzej Ehrenfeucht, « An application of games to the completeness problem for formalized theories », Fundamenta Mathematicae, vol. 49, 1960/1961, p. 129-141.
- ↑ Stanford Encyclopedia of Philosophy, « Logic and Games ».
- ↑ (en) Elena Pezzoli, « Computational Complexity of Ehrenfeucht-Fraïssé Games on Finite Structures », Computer Science Logic, Springer Berlin Heidelberg, lecture Notes in Computer Science, , p. 159–170 (ISBN 978-3-540-48855-2, DOI 10.1007/10703163_11, lire en ligne, consulté le )
- ↑ Uwe Bosse, « An Ehrenfeucht–Fraïssé game for fixpoint logic and stratified fixpoint logic », dans Egon Börger (éditeur), Computer Science Logic: 6th Workshop, CSL'92, San Miniato, Italy, September 28 - October 2, 1992. Selected Papers, Springer-Verlag, coll. « Lecture Notes in Computer Science » (no 702), (ISBN 3-540-56992-8, zbMATH 0808.03024), p. 100-114.
- ↑ Patrick Blackburn et Johan van Benthem, « 1 Modal logic: a semantic perspective », dans Studies in Logic and Practical Reasoning, vol. 3, Elsevier, coll. « Handbook of Modal Logic », (lire en ligne), p. 1–84
Bibliographie
Le jeu d'Ehrenfeucht-Fraïssé est exposé dans de nombreux manuels de référence, parmi lesquels il y a les suivants :
- (en) Joseph G. Rosenstein, Linear Orderings, New York, Academic Press, , 487 p. (ISBN 978-0-12-597680-0).
- Bruno Poizat, A Course in Model Theory : An Introduction to Contemporary Mathematical Logic, Springer, coll. « Universitext », , 443 p. (ISBN 978-1-4612-6446-0).
- (en) Neil Immerman, Descriptive Complexity, New York, Springer, , 268 p. (ISBN 0-387-98600-6, lire en ligne) — Chapitre 6
- (en) Wilfrid Hodges, Model theory, Cambridge, Cambridge University Press, , 788 p. (ISBN 978-0-521-06636-5, OCLC 219990733)
- (en) Erich Grädel, Phokion G. Kolaitis, Leonid Libkin, Marx Maarten, Joel Spencer, Moshe Y. Vardi, Yde Venema et Scott Weinstein, Finite model theory and its applications, Berlin, Springer-Verlag, coll. « Texts in Theoretical Computer Science. An EATCS Series », , 437 p. (ISBN 978-3-540-00428-8, zbMATH 1133.03001, lire en ligne)
- Leonid Libkin, « Elements of Finite Model Theory — Introduction »
- Un exemple consultable en ligne : Ivars Peterson, « Example of the Ehrenfeucht-Fraïssé game », MathTrek
- Six Lectures Ehrenfeucht-Fraïssé games at MATH EXPLORERS' CLUB, Cornell Department of Mathematics.
Articles connexes
- Complexité descriptive
- Théorie des bases de données
- Théorie des jeux
- Langage formel
- Calcul des prédicats
- Portail de l'informatique théorique