Logique classique
La logique classique est la première formalisation du langage et du raisonnement mathématique développée à partir de la fin du XIXe siècle en logique mathématique.
Appelée simplement logique à ses débuts, c'est l'apparition d'autres systèmes logiques formels, notamment de la logique intuitionniste, qui a suscité l'adjonction de l'adjectif classique au terme logique. À cette époque, le terme de logique classique fait référence à la logique aristotélicienne[1],[2].
La logique classique est caractérisée par des postulats qui la fondent et la différencient de la logique intuitionniste, exprimés dans le formalisme du calcul des propositions ou du calcul des prédicats :
- Le tiers exclu énonce que pour toute proposition mathématique considérée, elle-même ou sa négation est vraie :
- La contraposition :
Ces principes sont équivalents par raisonnement intuitionniste, c’est-à-dire que l'on peut montrer que n'importe lequel d'entre eux permet de déduire les autres en utilisant les règles intuitionnistes.
On y ajoute généralement l'une des lois de De Morgan :
Ces principes contribuent au fait que les modèles calculatoires de la logique classique sont beaucoup plus complexes que ceux de la logique intuitionniste.
Le principe
est valide en logique classique, et n'est pas démontrable en logique intuitionniste[3], mais son adjonction à la logique intuitionniste n'engendre pas la logique classique.
Logique classique et tables de vérité
La sémantique (autrement dit la signification) de la logique classique se fait par des tables de vérité.
(A ⇒ B) ∨ (B ⇒ A), la logique classique et la logique intuitionniste
_B_V_B_-)_A1.png)

Si on ajoute la proposition à la logique intuitionniste, on obtient une logique qui n'est plus la logique intuitionniste, car n'est pas une conséquence de la logique intuitionniste, et qui n'est pas encore la logique classique, car le tiers exclu n'est pas une conséquence de cette formule.
Les modèles de Kripke sont essentiels pour comprendre la différence entre logique classique et logique intuitionniste. Le présent paragraphe en est une illustration et explique l'affirmation de l'alinéa ci-dessus.
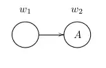
La figure 1 montre un contre modèle de Kripke de la proposition . Ça n'est pas un modèle de Kripke de parce que . En effet,
donc
d'où l'affirmation ci-dessus. Par conséquent, la proposition n'est pas valide dans la logique intuitionniste.
Tous les modèles de Kripke linéaires, c'est-à-dire tous les modèles dans lesquels chaque monde a un seul autre monde accessible, sont des modèles de Kripke de . C'est le cas de la figure 2. En revanche ce modèle n'est pas un modèle de , car
Puisque n'est pas valide dans tous les modèles de , ne peut pas être une conséquence de . Donc plus généralement la logique classique ne peut pas être engendrée par l'ajout de à la logique intuitionniste.
Notons en passant que nous avons aussi montré que n'est pas valide en logique intuitionniste.
La loi de Peirce est la proposition . Elle n'est pas valide en logique intuitionniste et son ajout à celle-ci produit la logique classique. Elle a la particularité de ne contenir que des implications à la différence des quatre propositions citées plus haut qui contiennent toutes une négation.
Notes et références
- ↑ Louis Couturat, La logique de Leibniz d'après des documents inédits, Félix Alcan éditeur, (lire en ligne) lire en ligne sur Gallica, notamment l'appendice intitulé « Précis de logique classique »
- ↑ H. Dufumier, « La généralisation mathématique », Revue de métaphysique et de morale, (lire en ligne) lire en ligne sur Gallica.
- ↑ (en) Dirk van Dalen (de), Logic and Structure, chap. 5 « Intuitionistic logic », exercice 9. (a), Springer-Verlag, 1991.
Lien externe
- Portail des mathématiques
- Portail de la logique