Loi zêta

Zêta
Image illustrative de l’article Loi zêta
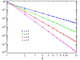
Fonction de masse
Image illustrative de l’article Loi zêta
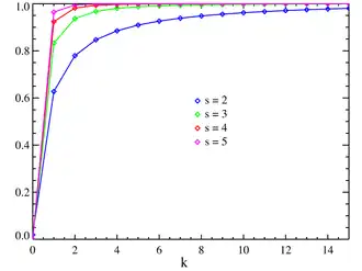
Fonction de répartition

En théorie de probabilité et statistiques, la distribution zêta est une loi de probabilité discrète de paramètre [1]. Elle est aussi appelée loi de Pareto discrète[2], en lien avec la loi de Pareto.

Définition

On dit qu'une variable aléatoire suit une loi zêta de paramètre si :

est la fonction zêta de Riemann non définie en 1[1].

Une loi zêta est un sous cas de la loi de Zipf où le paramètre N est infini.

Moments

Le n-ième moment est défini par l'espérance de Xn :

La série de droite est une représentation de la fonction zêta de Riemann et converge seulement pour les valeurs de s-n strictement supérieures à 1. Ainsi :

Lien avec la densité naturelle

Soit A une partie de , on dit que A a une densité naturelle si converge. Notons d(A) la limite. On a alors le résultat suivant :

Voir aussi

Références

  1. 1 2 Élise Davignon, « Introduction aux probabilités » Accès libre [PDF], sur Université de Montréal
  2. « Programme probabilités discrètes » Accès libre [PDF], sur université Paris Diderot
  • icône décorative Portail des probabilités et de la statistique