OGLE-TR-122
à l'échelle.
| Ascension droite | 11h 06m 51,88538s[1] |
|---|---|
| Déclinaison | −60° 51′ 45,9021″[1] |
| Constellation | Carène |
| Magnitude apparente | 15,61[2] |
Localisation dans la constellation : Carène ![]() | |
| Variabilité | 7,3 jours (période de rotation) |
|---|
| Mouvement propre |
μα = −5,322 mas/a[1] μδ = +0,873 mas/a[1] |
|---|---|
| Parallaxe | 0,545 6 ± 0,040 5 mas[1] |
| Distance | 1 833 ± 136 pc (∼5 980 al)[1] |
| Masse | 0,98 ± 0,14 (A) / 0,092 ± 0,009 (B) M☉[3] |
|---|---|
| Rayon |
1,05+0,20 −0,09 (A) / 0,120+0,024 −0,013 (B) R☉[3] |
| Gravité de surface (log g) | 3,9 ± 0,5 (A)[3] |
| Luminosité | 0,972 ± 0,236 L☉[4] |
| Température | 5 700 ± 300 (A) K[3] |
| Métallicité | 0,15 ± 0,36 [Fe/H][3] |
| Rotation | 5,7 ± 0,6 (A) km/s[3] |
Désignations
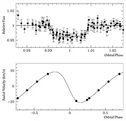
OGLE-TR-122 ou V817 Carinae est un système binaire situé à environ 6 000 années-lumière dans la constellation de la Carène. L'un des membres de ce système est une des plus petites étoiles connues de la séquence principale. Cette dernière a été découverte dans le cadre du projet OGLE lors du transit de l'étoile la plus petite devant l'autre. La période orbitale est d'environ 7,3 jours.

Le système binaire
L'étoile principale, OGLE-TR-122 A, est comparable au Soleil.
L'étoile compagne, OGLE-TR-122 B, a un rayon estimé à environ 0,12 rayon solaire, soit environ 20 % plus grand que celui de Jupiter, et une masse d'environ 0,1 masse solaire, soit environ 100 fois celle de Jupiter[6], ce qui s'approche de la plus faible masse possible pour une étoile (estimée à environ 0,07 à 0,08 masse solaire)[7]. Sa densité moyenne est environ 50 fois celle du Soleil.
Lien interne
Notes et références
- 1 2 3 4 5 6 (en) A. G. A. Brown et al. (Gaia collaboration), « Gaia Early Data Release 3 : Summary of the contents and survey properties », Astronomy & Astrophysics, vol. 649, , article no A1 (DOI 10.1051/0004-6361/202039657, Bibcode 2021A&A...649A...1G, arXiv 2012.01533). Notice Gaia EDR3 pour cette source sur VizieR.
- ↑ The Optical Gravitational Lensing Experiment. Additional Planetary and Low-Luminosity Object Transits from the OGLE 2001 and 2002 Observational Campaigns, A. Udalski, G. Pietrzynski, M. Szymanski, M. Kubiak, K. Zebrun, I. Soszynski, O. Szewczyk, and L. Wyrzykowski, Acta Astronomica 53 (June 2003), pp. 133–149
- 1 2 3 4 5 6 (en) F. Pont et al., « A planet-sized transiting star around OGLE-TR-122 », Astronomy & Astrophysics, vol. 433, no 2, , p. L21 (DOI 10.1051/0004-6361:200500025, Bibcode 2005A&A...433L..21P, arXiv astro-ph/0501611)
- ↑ (en) A. G. A. Brown et al. (Gaia collaboration), « Gaia Data Release 2 : Summary of the contents and survey properties », Astronomy & Astrophysics, vol. 616, , article no A1 (DOI 10.1051/0004-6361/201833051, Bibcode 2018A&A...616A...1G, arXiv 1804.09365). Notice Gaia DR2 pour cette source sur VizieR.
- ↑ (en) V* V817 Car -- Eclipsing binary of Algol type sur la base de données Simbad du Centre de données astronomiques de Strasbourg.
- ↑ (en) Robert Roy Britt, « Newfound Star Smaller than Some Planets », sur space.com
- ↑ (en) Gilles Chabrier et Isabelle Baraffe, « Theory of Low-Mass Stars and Substellar Objects », Annual Review of Astronomy and Astrophysics, vol. 38, , p. 337–377 (résumé, lire en ligne)
- Portail de l’astronomie
- Portail des étoiles
