Liaison phosphodiester

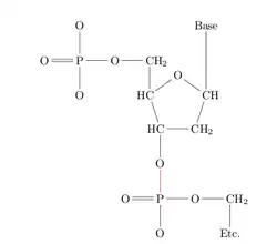
La liaison phosphodiester correspond au lien entre le phosphore d'un groupement phosphate avec deux autres molécules via deux liens ester. Elle se produit lorsque exactement deux des groupes hydroxyles (-OH) de l'acide phosphorique réagissent avec les groupes hydroxyles d'autres molécules pour former deux liaisons ester. Il s'agit donc en fait de deux liaisons phosphoester. Dans l'ADN et l'ARN, la liaison phosphodiester s'effectue entre l'extrémité 3' OH sur le ribose du premier nucléotide vers l'extrémité 5' phosphate du second nucléotide, par le biais d'une ADN/ARN polymérase. A noter qu'il s'agira d'un ribose pour l'ARN (possède un Oxygène en position 2' du sucre) alors que pour l'ADN ce sera un désoxyribose (désoxygénation en position 2' du sucre ce augmente la stabilité de l'ADN par rapport a l'ARN).
Voir aussi
- Portail de la biochimie
- Portail de la chimie