Pipotiazine
| Pipotiazine | |
| |
| Identification | |
|---|---|
| DCI | Pipotiazine |
| Nom UICPA | 10-[3-[4-(2-hydroxyéthyl)pipéridin-1-yl]propyl]-N,N-diméthylphénothiazine-2-sulfonamide |
| No CAS | |
| No ECHA | 100.049.672 |
| No CE | 254-659-6 |
| Code ATC | N05 |
| DrugBank | DB01621 |
| PubChem | 62867 |
| SMILES | |
| Propriétés chimiques | |
| Formule | C24H33N3O3S2 [Isomères] |
| Masse molaire[1] | 475,667 ± 0,033 g/mol C 60,6 %, H 6,99 %, N 8,83 %, O 10,09 %, S 13,48 %, |
| Écotoxicologie | |
| LogP | 3,94 |
| Considérations thérapeutiques | |
| Voie d’administration | orale, parentérale |
| Unités du SI et CNTP, sauf indication contraire. | |
La pipotiazine est un antipsychotique de première génération commercialisé par le laboratoire Sanofi sous le nom de Piportil. Elle agit contre des états psychotiques notamment la schizophrénie.
Historique
Le brevet a été déposé aux États-Unis le par le groupe Français Rhône-Poulenc aujourd'hui devenu Rhodia. Rhodia fait partie d'un groupe agrochimique nommé Aventis, en collaboration avec Sanofi. Sanofi a été l'un des premiers à commercialiser la pipotiazine, sous le nom de Piportil, le .
Structure
La pipotiazine est un neuroleptique et plus particulièrement une phénothiazine pipéridinée. En effet, elle partage avec cette classe, un squelette commun :
- structure tricyclique : deux cycles benzéniques et un cycle thiazine ;
- deux substituants greffés, l’un est une chaîne azotée et l’autre est une chaîne de faible encombrement.
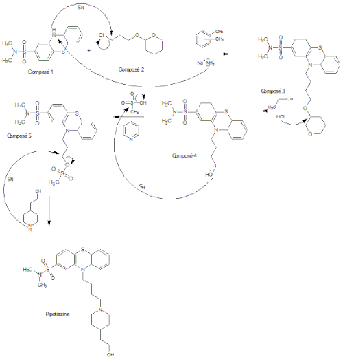
Synthèse
Première synthèse
Le laboratoire Rhône-Poulenc a réussi à synthétiser la pipotiazine pour la première fois en 1964, à partir d’un composé 1.[ref]
- Le composé 1 réagit avec la molécule 2 dans du xylène en présence d’amidure de sodium. L’amidure de sodium déprotone l’amine cyclique. L’amidure correspondant réagit avec l’électrophile 2 par substitution nucléophile.
- L’acétale 3 est ensuite déprotégé en milieu acide fournissant ainsi l’alcool désiré.
- Le groupement hydroxyle du composé 4 étant un mauvais groupement partant, il est nécessaire de préparer l’ester sulfonique correspondant. Le groupement mésylate est en effet un excellent groupement partant.
- Le chauffage à reflux du composé 5 et du 4-hydroxyéthylpipéridine (molécule 6) dans le toluène permet ensuite la substitution nucléophile menant à la pipotiazine 6.

Deuxième synthèse
La synthèse de la pipotiazine, décrite ci-dessous, s'effectue en deux principales étapes. Tout d'abord, l'attaque nucléophile de l'amine secondaire du composé A sur le C1 du chlorure de 3-chloropropionyle. Il se forme alors B (un solide blanc) et de l'acide chlorhydrique (HCl). La deuxième étape est une réduction de Clemmensen de B par le 2-(pipéridin-4-yl)éthanol en présence de Zn/H3O+ qui forme la pipotiazine (C).

Mode d'action
La pipotiazine agit de la même façon que les phénotiazines. Cependant, elle est moins sédative et à moins tendance à causer de l’hypotension ou des effets dépresseurs et anesthésiants sur le système nerveux central. Néanmoins, elle a une grande incidence sur les réactions extra-pyramidales.
Les réactions extra-pyramidales sont contrôlées par l’action de la pipotiazine. Celle-ci agit sur les récepteurs dopaminergiques présents dans le système limbique, c’est-à-dire présents sur les structures gérant le comportement et les émotions de l’Homme, diminuant leurs activités. Elle se fixe aussi sur les récepteurs sérotoninergiques afin que le taux d’occupation des précédents récepteurs n’excède pas 80%.
Interactions possibles
Plusieurs interactions moléculaires sont envisageables au vu de la structure de la pipotiazine :
- interactions hydrophobes (liaisons de van der Waals) possibles grâce à la :
- chaîne carbonée,
- chaîne carbonée substituée par un chlore,
- cycle aromatique chloré ;
- liaison hydrogène :
- amine aromatique est accepteur de liaison hydrogène,
- fonction hydroxyle est donneur de liaison hydrogène.
Action sur les récepteurs
La pipotiazine agit comme un antagoniste sur différents récepteurs postsynaptiques :
- dopaminergiques (D1, D2, D3 et D4) : propriétés antipsychotiques et antimaniaque ;
- sérotoninergiques (5-HT2, 6 et 7) : propriétés antipsychotiques, anxiolytique, antidépressive, antiagressive ;
- histaminergiques (H1) ;
- adrénergiques (α1 et α2) : propriété antisympathicomimétique ;
- cholinergiques (M1 et M2) : propriété anticholinergiques atténuant les réactions extra-pyramidales.
Interaction avec le récepteur dopaminergique D3

La pipotiazine étant un antagoniste dopaminergique, elle va se fixer sur les récepteurs et ainsi empêcher la fixation de ce neurotransmetteur.
L'amine cyclique de la pipotiazine, protonée à pH physiologique, est un donneur d'hydrogène, par conséquent, elle forme une liaison hydrogène avec l'Asparagine en position 110 sur la chaîne A du récepteur D3.
La structure tricyclique de la pipotiazine se positionne au niveau de la poche hydrophobe du récepteur en formant des liaisons de van der Waals.
Indications
Le Piportil est administré par voie orale ou intramusculaire. Il se conserve à l'abri de la lumière et de la chaleur.
Selon les symptômes de la maladie, ce neuroleptique sera prescrit sous forme orale, à prendre quotidiennement, ou bien sous forme injectable à effet retard, entraînant ainsi une prise toutes les deux, trois ou quatre semaines.
Contre-indications
| Pipotiazine | |
| Informations générales | |
|---|---|
| Princeps |
|
| Classe | Antipsychotiques, phénothiazines à structure de pipéridine, ATC code N05AC04 |
| Forme | comprimés pelliculés dosés à 10 mg, solution buvable dosée à 4 %, solution injectable dosée à 25 mg·ml-1 et à 50 mg·ml-1 |
| Administration | per os ; injection intramusculaire |
| Laboratoire | Sanofi-Aventis |
| Identification | |
| No CAS | |
| No ECHA | 100.049.672 |
| Code ATC | N05AC04 |
| DrugBank | DB01621 |
La prise de ce neuroleptique est contre-indiquée si le patient a un risque de glaucome à angle fermé, un risque de blocage des urines (adénome de la prostate), un antécédent d'agranulocytose. Il ne doit pas être pris en association avec des médicaments dopaminergiques ou de l'alcool.
Effets secondaires
La pipotiazine peut provoquer des effets secondaires ou des résultats indésirables, par exemple le syndrome extra-pyramidal, c'est-à-dire une perturbation des mouvements associée à une hyperactivité et des tremblements, une dyskinésie soit des mouvements répétitifs involontaires, une hyperprolactinémie donc une augmentation excessive de la prolactine dans le sang, ou une somnolence. La pipotiazine entraîne en général une prise de poids, une dysrégulation thermique, une hypotension, une sédation, de la somnolence.
L'action de la pipotiazine sur les récepteurs peut entraîner différents effets indésirés :
- syndrome parkinsonien : inhibition du récepteur dopaminergique D2 ;
- difficultés d’éjaculation : action sur les récepteurs sérotoninergiques ;
- vertiges : action sur les récepteurs histaminergiques ;
- tachycardie, vertige, incontinence et dysfonctionnements sexuels : action sur les récepteurs α ;
- assèchement buccal, vision défectueuse, difficulté à uriner et perte de mémoire : action sur les récepteurs cholinergiques.
Notes et références
- ↑ Masse molaire calculée d’après « Atomic weights of the elements 2007 », sur www.chem.qmul.ac.uk.
Liens externes
- Page spécifique dans la base de données sur les produits pharmaceutiques (Canada)
- Page spécifique sur le Vidal.fr
- http://www.rcsb.org/pdb/explore/jmol.do?structureId=3pbl&bionumber=1&jmolMode=HTML5
- http://www.sciencedirect.com/science/article/pii/S0223523410007592
- http://senon.pagesperso-orange.fr/Documentation/telechargement/2cycle/moduleD/neuroleptiques.pdf
- https://pubchem.ncbi.nlm.nih.gov/compound/62867#section=DrugBank-Interactions
- http://www.rcsb.org/pdb/explore/jmol.do?structureId=3pbl&bionumber=1&jmolMode=HTML5
- https://pubchem.ncbi.nlm.nih.gov/compound/62867#section=2D-Structure
- http://onlinelibrary.wiley.com/doi/10.1002/14651858.CD001720.pub2/full
- http://www.drugbank.ca/drugs/DB01621
- http://www.chemspider.com/Chemical-Structure.56598.html?rid=cb8c6b1c-d543-461f-9c93-4fd79fa73c3c
- http://jop.sagepub.com/content/19/6/667.full.pdf+html
- Portail de la chimie
- Portail de la médecine
- Portail de la pharmacie
- Portail de la folie
