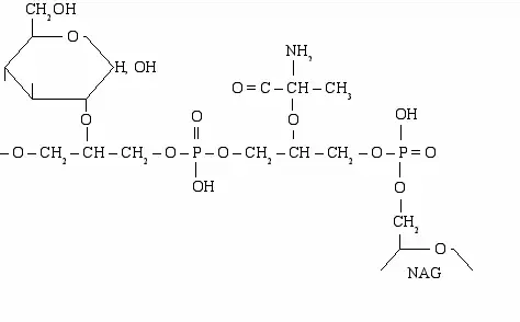
Polyglycérol phosphate

Le polyglycérol phosphate est un exemple d’acide téichoïque présent dans la paroi bactérienne. Présent avec le peptidoglycane des bactéries à Gram positif par le carbone #6 de l'acide N-acétyl-muramique.

Notes et références

    • icône décorative Portail de la biologie
    • icône décorative Portail de la biochimie
    • icône décorative Portail de la chimie