Propriété de relèvement des homotopies
En mathématiques, en particulier en théorie de l'homotopie en topologie algébrique, la propriété de relèvement des homotopies est une condition technique sur une fonction continue d'un espace topologique E dit total à un autre, B dit espace de base. Moralement, cette propriété énonce que toute homotopie dans l'espace de base se relève en une homotopie dans l'espace total E.
Par exemple, un revêtement a une propriété de relèvement local unique des chemins vers un ouvert de la fibre donnée ; l'unicité est due au fait que les fibres d'un revêtement sont des espaces discrets. La propriété de relèvement des homotopies existe dans de nombreuses situations, telles que la projection dans un fibré vectoriel, ou dans une fibration, où l'unicité du relèvement n'est plus assurée.
Définition formelle
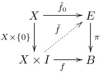
Supposons désormais que toutes les cartes sont des fonctions continues d'un espace topologique à un autre. Étant donné une application , et un espace , on dit que a la propriété de relèvement des homotopies[1],[2], si:
- pour toute homotopie , et
- pour n'importe quelle application relevant (c'est-à-dire que l'on a ),
il existe une homotopie relevant (c'est-à-dire ) qui satisfait également .
Le carré extérieur (sans la flèche en pointillé) commute si et seulement si les hypothèses de la propriété de relèvement sont vérifiée. Un relèvement correspond à une flèche en pointillé faisant commuter le diagramme.
Si l'application satisfait la propriété de relèvement des homotopies par rapport à tout espace X, alors s'appelle une fibration.
Une notion plus faible de fibration est la fibration de Serre, pour laquelle le relèvement d'homotopie n'est requis que pour tous les CW-complexes .
Généralisation : propriété d'extension de relèvement des homotopies
Il existe une généralisation commune de la propriété de relèvement des homotopies et de la propriété de prolongement des homotopies. Étant donné une paire d'espaces , on note simplement. Soit de plus une application , on dit que a la propriété d'extension de relèvement des homotopies si :
- Pour toute homotopie , et
- Pour tout relèvement de , il existe une homotopie qui couvre (i.e. tel que ) et prolonge (i.e. tel que ).
La propriété de relèvement des homotopies de est obtenue en prenant , de sorte que soit simplement .
La propriété d'extension d'homotopie de est obtenue en prenant constante.
Articles connexes
Remarques
- ↑ Sze-Tsen Hu, Homotopy Theory, (lire en ligne) page 24
- ↑ Dale Husemoller, Fibre Bundles, page 7
Références
- (en) Cet article est partiellement ou en totalité issu de l’article de Wikipédia en anglais intitulé « Homotopy lifting property » (voir la liste des auteurs).
- Norman Steenrod, The Topology of Fibre Bundles, Princeton, Princeton University Press, (ISBN 0-691-00548-6, lire en ligne
) - Sze-Tsen Hu, Homotopy Theory, New York, Academic Press Inc., , Third Printing, 1965 éd. (ISBN 0-12-358450-7, lire en ligne
) - Dale Husemoller, Fibre Bundles, New York, Springer, , Third éd. (ISBN 978-0-387-94087-8)
- Allen Hatcher, Algebraic Topology, Cambridge, Cambridge University Press, (ISBN 0-521-79540-0, lire en ligne)
- Jean-Pierre Marquis (2006) "A path to Epistemology of Mathematics: Homotopy theory", pages 239 à 260 dans The Architecture of Modern Mathematics, J. Ferreiros & JJ Gray, éditeurs, Oxford University Press (ISBN 978-0-19-856793-6)
Liens externes
- (en) « Propriété de relèvement des homotopies », dans Michiel Hazewinkel, Encyclopædia of Mathematics, Springer, (ISBN 978-1556080104, lire en ligne)
- Portail des mathématiques
