Réaction de Herz
La réaction de Herz, du nom du chimiste Richard Herz, la conversion de dérivés de aniline (1) en sels de Herz (2) avec du dichlorure de disoufre, suivi par une hydrolyse du dit sel (2) en le thiolate de sodium correspondant (3) [1]:

Applications
Benzothiazoles
Le thiolate de sodium 3 peut être converti en un intermédiaire thiolate de zinc avec du sulfate de zinc, suivi par la réaction du thiolate avec par exemple du chlorure de benzoyle, pour donner un 1,3-benzothiazole 4.

Colorants
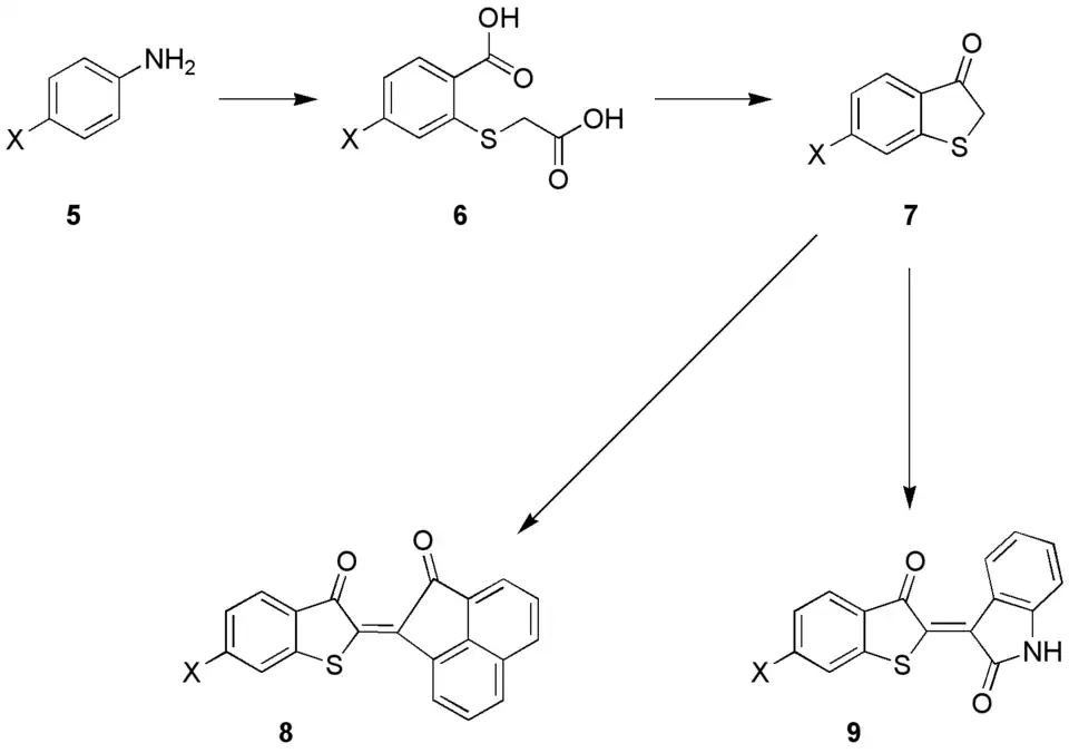
L'aniline 5 est convertie en trois étapes en 6 suivant la séquence:
- conversion en un ortho-aminothiol via la réaction de Herz (aniline 5 et dichlorure de disoufre)
- conversion en un acide ortho-aminoarylthioglycolique
- conversion de la fonction amine aromatique en nitrile via une réaction de Sandmeyer.
- Enfin hydrolyse du nitrile produit en 6. Ce composé est converti en 7 via une réaction de cyclisation et de décarboxylation.
Le composé, (thioindoxyle, 7) est un intermédiaire important en synthèse des colorants. La condensation avec l'acénaphthoquinone donne 8, un colorant de type Ciba-Scarlet, tandis que la condensation de 7 avec de l'isatine donne le colorant thioindigoïque 9.

Notes et références
- ↑ (en) W. K. Warburton, « Arylthiazathiolium Salts And o-Aminoaryl Thiols - The Herz Reaction », Chem. Rev., vol. 57, no 5, , p. 1011–1020 (ISSN 0009-2665, DOI 10.1021/cr50017a004).
Articles connexes
- Portail de la chimie