Réaction de Vilsmeier-Haack
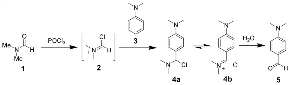
La réaction de Vilsmeier-Haack (aussi appelée réaction de Vilsmeier) est une réaction chimique entre un amide substitué (1), le trichlorure de phosphoryle et un dérivé benzénique riche en électron (3) pour produire un benzaldéhyde ou une phénone (5). Cette réaction est nommée d'après Anton Vilsmeier et Albrecht Haack[1],[2],[3].

Par exemple, le benzanilide et la N,N-diméthylaniline réagissent avec le trichlorure de phosphoryle pour produire une diaryl cétone asymétrique[4]. De façon similaire, l'anthracène peut être formylé, mais exclusivement en position 9[5] :

Mécanisme réactionnel
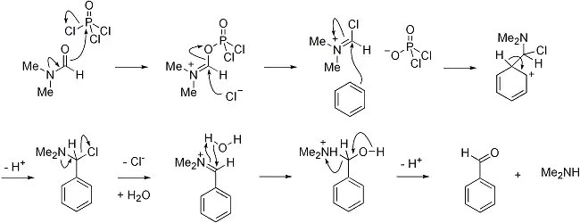
Dans un premier temps, l'amide substitué s'additionne sur le trichlorure de phosphoryle, qui libère alors un ion chlorure. Cet ion chlorure vient se substituer sur le carbone porteur de l'ancien groupe carbonyle, produisant un ion chloroiminiumsubstitué (2 dans le premier schéma), appelé aussi réactif de Vilsmeier. Ce composé est un électrophile, en particulier sur le carbone du groupe iminium, aussi lié au chlore. En présence d'un dérivé benzénique, riche en électron, il se produit donc naturellement une substitution électrophile aromatique
Le produit de cette substitution (4a), une amine chlorée se réorganise par élimination d'un ion chlorure en ion iminium (4b), qui est ensuite hydrolysé en cétone ou aldéhyde aromatique correspondant (5)[6].

Applications
Une récente application de cette réaction est une nouvelle voie de synthèse de la tris(4-formylphényl)amine[7] à partir de la triphénylamine, qui par les méthodes jusque-là utilisées n'avait qu'un modeste rendement de 16 %. Il a été montré que ce faible taux résultait de la désactivation du cycle benzénique par les groupes imines des deux autres groupes phényls lors de la troisième formylation. La procédure a donc été modifiée pour former une di-imine suivie d'un hydrolyse pour former le di-formyl correspondant. Enfin, avec la position finale réactivée, il est pratiqué la dernière formylation, toute seule, et former le composé tri-substitué avec un rendement de l'ordre de 95 %.

En bas: procédure modifiée.
Notes et références
- (en) Cet article est partiellement ou en totalité issu de l’article de Wikipédia en anglais intitulé « Vilsmeier–Haack reaction » (voir la liste des auteurs).
- ↑ (de) A. Vilsmeier et A. Haack, « Über die Einwirkung von Halogenphosphor auf Alkyl-formanilide. Eine neue Methode zur Darstellung sekundärer und tertiärer p-Alkylamino-benzaldehyde », Ber. Dtsch. Chem. Ges., vol. 60, no 1, , p. 119–122 (ISSN 0365-947X, DOI 10.1002/cber.19270600118).
- ↑ Meth-Cohn, O.; Stanforth, S. P. Comp. Org. Syn. 1991, 2, 777-794. (Review)
- ↑ (en) E. Campaigne et W. L. Archer, « p-Dimethylaminobenzaldehyde », Org. Synth., vol. 33, , p. 27 (ISSN 0078-6209, DOI 10.15227/orgsyn.033.0027).
- ↑ (en) C. D. Hurd et C. N. Webb, « p-Dimethylaminobenzophenone », Org. Synth., vol. 7, , p. 24 (ISSN 0078-6209, DOI 10.15227/orgsyn.007.0024).
- ↑ (en) F. L. Fieser, J. L. Hartwell et al., « 9-Anthraldehyde; 2-Ethoxy-1-naphtaldehyde », Org. Synth., vol. 20, , p. 11 (ISSN 0078-6209, DOI 10.15227/orgsyn.020.0011).
- ↑ (en) G. Jones et S. P. Stanforth, Organic Reaction, vol. 56, New York (NY), John Wiley & Sons, , 696 p. (ISBN 978-0-471-39568-3, DOI 10.1002/0471264180.or056.02), chap. 2 (« The Vilsmeier Reaction of Non-Aromatic Compounds »), p. 355-659.
- ↑ (en) T. Mallegol, S. Gmouh et al., « Practical and Efficient Synthesis of Tris(4-formylphenyl)amine, a Key Building Block in Materials Chemistry », Synthesis, no 11, , p. 1771-1774 (ISSN 0039-7881, DOI 10.1055/s-2005-865336).
Articles connexes
- Portail de la chimie