Rayons atomiques des éléments (page de données)

Le rayon atomique d'un élément chimique est la distance entre le centre du noyau et la couche électronique la plus externe. Puisque la frontière n’est pas une entité physique bien définie, il existe diverses définitions non équivalentes du rayon atomique. Selon la définition, le terme peut s'appliquer simplement à des atomes isolés ou en phase condensée,formant des liaisons covalente dans des molécules, ou dans des états ionisés et excités. Sa valeur peut être obtenue par des mesures expérimentales, ou calculée à partir de modèles théoriques. Selon certaines définitions, le rayon peut dépendre de l'état et du contexte de l'atome (par exemple, le rayon métallique des atomes au sein d'un métal est plus faible que le rayon d'un atome isolé)[1].
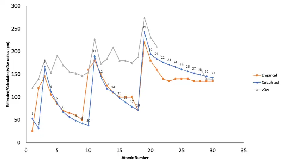
On peut aisément expliquer les variations de rayon atomique dans le tableau périodique. Par exemple, les rayons diminuent généralement de la gauche vers la droite, le long de chaque période (ligne) du tableau, depuis les métaux alcalins jusqu'aux gaz nobles ; et augmentent de haut en bas, le long des colonnes. Le rayon augmente fortement entre le gaz rare à la fin de chaque période et le métal alcalin au début de la période suivante. L'évolutions des rayons atomiques (ainsi que diverses propriétés chimiques et physiques) peut être expliquées par la théorie des orbitales atomiques ; elles ont fourni des preuves importantes pour le développement et la confirmation de la théorie quantique.
Rayon atomique
Remarque : Toutes les mesures indiquées sont en picomètres (pm). Pour des données plus récentes sur les rayons covalents, voir Rayon covalent. Tout comme les unités atomiques sont données en termes d’unité de masse atomique (approximativement la masse du proton), l’unité de longueur physiquement appropriée ici est le rayon de Bohr, qui est le rayon d’un atome d’hydrogène dans l'état fondamental. Le rayon de Bohr est donc appelé « unité atomique de longueur ». Il est souvent désigné par a0 et correspond à environ 53 pm. Par conséquent, les valeurs des rayons atomiques données ici en picomètres peuvent être converties en unités atomiques en divisant par 53, au niveau de précision des données indiquées dans ce tableau.

| Numéro atomique | Symbole | Nom | Valeur empirique | valeur calculée | Rayon de van der Waals | Rayon covalent (liaison simple) | Rayon covalent (triple liaison) | Rayon métallique |
|---|---|---|---|---|---|---|---|---|
| 1 | H | hydrogène | 25[2] | 53[réf. nécessaire] | 120[3] ou 110[4] | 32 | ||
| 2 | He | helium | 120[réf. nécessaire] | 31[5] | 140[3],[4] | 46 | ||
| 3 | Li | lithium | 145[2] | 167[5] | 182[3] ou 181[4] | 133 | 152 | |
| 4 | Be | béryllium | 105[2] | 112[5] | 153[4] | 102 | 85[6] | 112 |
| 5 | B | bore | 85[2] | 87[5] | 192[4] | 85 | 73[6] | |
| 6 | C | carbone | 70[2] | 67[5] | 170[3],[4] | 75 | 60[6] | |
| 7 | N | Azote | 65[2] | 56[5] | 155[3],[4] | 71 | 54[6] | |
| 8 | O | oxygène | 60[2] | 48[5] | 152[3],[4] | 63 | 53[6] | |
| 9 | F | fluor | 50[2] | 42[5] | 147[3],[4] | 64 | 53[6] | |
| 10 | Ne | néon | 160[réf. nécessaire] | 38[5] | 154[3],[4] | 67 | ||
| 11 | Na | sodium | 180[2] | 190[5] | 227[3],[4] | 155 | 186 | |
| 12 | Mg | magnésium | 150[2] | 145[5] | 173[3],[4] | 139 | 127[6] | 160 |
| 13 | Al | aluminium | 125[2] | 118[5] | 184[4] | 126 | 111[6] | 143 |
| 14 | Si | silicium | 110[2] | 111[5] | 210[3],[4] | 116 | 102[6] | |
| 15 | P | phosphore | 100[2] | 98[5] | 180[3],[4] | 111 | 94[6] | |
| 16 | S | soufre | 100[2] | 88[5] | 180[3],[4] | 103 | 95[6] | |
| 17 | Cl | chlore | 100[2] | 79[5] | 175[3],[4] | 99 | 93[6] | |
| 18 | Ar | argon | 71[réf. nécessaire] | 71[5] | 188[3],[4] | 96 | 96[6] | |
| 19 | K | potassium | 220[2] | 243[5] | 275[3],[4] | 196 | 227 | |
| 20 | Ca | calcium | 180[2] | 194[5] | 231[4] | 171 | 133[6] | 197 |
| 21 | Sc | scandium | 160[2] | 184[5] | 211[réf. nécessaire] | 148 | 114[6] | 162 |
| 22 | Ti | titane | 140[2] | 176[5] | 136 | 108[6] | 147 | |
| 23 | V | vanadium | 135[2] | 171[5] | 134 | 106[6] | 134 | |
| 24 | Cr | chrome | 140[2] | 166[5] | 122 | 103[6] | 128 | |
| 25 | Mn | manganèse | 140[2] | 161[5] | 119 | 103[6] | 127 | |
| 26 | Fe | fer | 140[2] | 156[5] | 116 | 102[6] | 126 | |
| 27 | Co | cobalt | 135[2] | 152[5] | 111 | 96[6] | 125 | |
| 28 | Ni | nickel | 135[2] | 149[5] | 163[3] | 110 | 101[6] | 124 |
| 29 | Cu | cuivre | 135[2] | 145[5] | 140[3] | 112 | 120[6] | 128 |
| 30 | Zn | zinc | 135[2] | 142[5] | 139[3] | 118 | 134 | |
| 31 | Ga | gallium | 130[2] | 136[5] | 187[3],[4] | 124 | 121[6] | 135 |
| 32 | Ge | germanium | 125[2] | 125[5] | 211[4] | 121 | 114[6] | |
| 33 | As | arsenic | 115[2] | 114[5] | 185[3],[4] | 121 | 106[6] | |
| 34 | Se | sélénium | 115[2] | 103[5] | 190[3],[4] | 116 | 107[6] | |
| 35 | Br | brome | 115[2] | 94[5] | 185[3] ou 183[4] | 114 | 110[6] | |
| 36 | Kr | krypton | 88[5] | 202[3],[4] | 117 | 108[6] | ||
| 37 | Rb | rubidium | 235[2] | 265[5] | 303[4] | 210 | 248 | |
| 38 | Sr | strontium | 200[2] | 219[5] | 249[4] | 185 | 139[6] | 215 |
| 39 | Y | yttrium | 180[2] | 212[5] | 163 | 124[6] | 180 | |
| 40 | Zr | zirconium | 155[2] | 206[5] | 154 | 121[6] | 160 | |
| 41 | Nb | niobium | 145[2] | 198[5] | 147 | 116[6] | 146 | |
| 42 | Mo | molybdène | 145[2] | 190[5] | 138 | 113[6] | 139 | |
| 43 | Tc | technétium | 135[2] | 183[5] | 128 | 110[6] | 136 | |
| 44 | Ru | ruthénium | 130[2] | 178[5] | 125 | 103[6] | 134 | |
| 45 | Rh | rhodium | 135[2] | 173[5] | 125 | 106[6] | 134 | |
| 46 | Pd | palladium | 140[2] | 169[5] | 163[3] | 120 | 112[6] | 137 |
| 47 | Ag | argent | 160[2] | 165[5] | 172[3] | 128 | 137[6] | 144 |
| 48 | Cd | cadmium | 155[2] | 161[5] | 158[3] | 136 | 151 | |
| 49 | In | indium | 155[2] | 156[5] | 193[3],[4] | 142 | 146[6] | 167 |
| 50 | Sn | étain | 145[2] | 145[5] | 217[3],[4] | 140 | 132[6] | |
| 51 | Sb | antimoine | 145[2] | 133[5] | 206[4] | 140 | 127[6] | |
| 52 | Te | tellure | 140[2] | 123[5] | 206[3],[4] | 136 | 121[6] | |
| 53 | I | iode | 140[2] | 115[5] | 198[3],[4] | 133 | 125[6] | |
| 54 | Xe | xénon | 108[5] | 216[3],[4] | 131 | 122[6] | ||
| 55 | Cs | césium | 260[2] | 298[5] | 343[4] | 232 | 265 | |
| 56 | Ba | barium | 215[2] | 253[5] | 268[4] | 196 | 149[6] | 222 |
| 57 | La | lanthane | 195[2] | 226[réf. nécessaire] | 180 | 139[6] | 187 | |
| 58 | Ce | cérium | 185[2] | 210[réf. nécessaire] | 163 | 131[6] | 181,8 | |
| 59 | Pr | praséodyme | 185[2] | 247[5] | 176 | 128[6] | 182,4 | |
| 60 | Nd | néodyme | 185[2] | 206[5] | 174 | 181,4 | ||
| 61 | Pm | prométhium | 185[2] | 205[5] | 173 | 183,4 | ||
| 62 | Sm | samarium | 185[2] | 238[5] | 172 | 180,4 | ||
| 63 | Eu | europium | 185[2] | 231[5] | 168 | 180,4 | ||
| 64 | Gd | gadolinium | 180[2] | 233[5] | 169 | 132[6] | 180,4 | |
| 65 | Tb | terbium | 175[2] | 225[5] | 168 | 177,3 | ||
| 66 | Dy | dysprosium | 175[2] | 228[5] | 167 | 178,1 | ||
| 67 | Ho | holmium | 175[2] | 226[5] | 166 | 176,2 | ||
| 68 | Er | erbium | 175[2] | 226[5] | 165 | 176.1 | ||
| 69 | Tm | thulium | 175[2] | 222[5] | 164 | 175.9 | ||
| 70 | Yb | ytterbium | 175[2] | 222[5] | 170 | 176 | ||
| 71 | Lu | lutétium | 175[2] | 217[5] | 162 | 131[6] | 173.8 | |
| 72 | Hf | hafnium | 155[2] | 208[5] | 152 | 122[6] | 159 | |
| 73 | Ta | tantale | 145[2] | 200[5] | 146 | 119[6] | 146 | |
| 74 | W | tungstène | 135[2] | 193[5] | 137 | 115[6] | 139 | |
| 75 | Re | rhénium | 135[2] | 188[5] | 131 | 110[6] | 137 | |
| 76 | Os | osmium | 130[2] | 185[5] | 129 | 109[6] | 135 | |
| 77 | Ir | iridium | 135[2] | 180[5] | 122 | 107[6] | 135.5 | |
| 78 | Pt | platine | 135[2] | 177[5] | 175[3] | 123 | 110[6] | 138.5 |
| 79 | Au | Or | 135[2] | 174[5] | 166[3] | 124 | 123[6] | 144 |
| 80 | Hg | mercure | 150[2] | 171[5] | 155[3] | 133 | 151 | |
| 81 | Tl | thallium | 190[2] | 156[5] | 196[3],[4] | 144 | 150[6] | 170 |
| 82 | Pb | plomb | 180[réf. nécessaire] | 154[5] | 202[3],[4] | 144 | 137[6] | |
| 83 | Bi | bismuth | 160[2] | 143[5] | 207[4] | 151 | 135[6] | |
| 84 | Po | polonium | 190[2] | 135[5] | 197[4] | 145 | 129[6] | |
| 85 | At | astate | 127[5] | 202[4] | 147 | 138[6] | ||
| 86 | Rn | radon | 120[5] | 220[4] | 142 | 133[6] | ||
| 87 | Fr | francium | 348[4] | |||||
| 88 | Ra | radium | 215[2] | 283[4] | 201 | 159[6] | ||
| 89 | Ac | actinium | 195[2] | 186 | 140[6] | |||
| 90 | Th | thorium | 180[2] | 175 | 136[6] | 179 | ||
| 91 | Pa | protactinium | 180[2] | 169 | 129[6] | 163 | ||
| 92 | U | uranium | 175[2] | 186[3] | 170 | 118[6] | 156 | |
| 93 | Np | neptunium | 175[2] | 171 | 116[6] | 155 | ||
| 94 | Pu | plutonium | 175[2] | 172 | 159 | |||
| 95 | Am | américium | 175[2] | 166 | 173 | |||
| 96 | Cm | curium | 176[réf. nécessaire] | 166 | 174 | |||
| 97 | Bk | berkélium | 170 | |||||
| 98 | Cf | californium | 186±2 | |||||
| 99 | Es | einsteinium | 186±2 | |||||
| 100 | Fm | fermium | ||||||
| 101 | Md | mendélévium | ||||||
| 102 | No | nobélium | ||||||
| 103 | Lr | lawrencium | ||||||
| 104 | Rf | rutherfordium | 131[6] | |||||
| 105 | Db | dubnium | 126[6] | |||||
| 106 | Sg | seaborgium | 121[6] | |||||
| 107 | Bh | bohrium | 119[6] | |||||
| 108 | Hs | hassium | 118[6] | |||||
| 109 | Mt | meitnérium | 113[6] | |||||
| 110 | Ds | darmstadtium | 112[6] | |||||
| 111 | Rg | roentgenium | 118[6] | |||||
| 112 | Cn | copernicium | 130[6] | |||||
| 113 | Nh | nihonium | ||||||
| 114 | Fl | flerovium | ||||||
| 115 | Mc | moscovium | ||||||
| 116 | Lv | livermorium | ||||||
| 117 | Ts | tennesse | ||||||
| 118 | Og | oganesson |
Voir aussi
- Rayon atomique
- Rayon covalent (rayons de liaison simple, double et triple, jusqu'aux éléments super-lourds.)
- Rayon ionique
Remarques
- Différence entre les données empiriques et expérimentales : les données empiriques signifient essentiellement "provenant ou basées sur l'observation ou l'expérience" ou "s'appuyant uniquement sur l'expérience ou l'observation, souvent sans tenir compte des données de la théorie"[7]. Cela signifie que la mesure a été effectuée par observation physique, et que la mesure est reproductible. Notez de plus que les valeurs ne sont pas calculées par une formule. Cependant, les résultats empiriques deviennent souvent une équation d’estimation. En revanche, les données expérimentales reposent uniquement sur des théories. De telles prédictions théoriques sont utiles lorsqu'il n'existe aucun moyen de mesurer expérimentalement les rayons, si l'on veut prédire le rayon d'un élément qui n'a pas encore été découvert ou dont la demi-vie est trop courte.
- Le rayon d'un atome n'est pas une propriété définie de manière unique et dépend de la définition. Les données provenant de différentes sources avec des hypothèses différentes ne peuvent pas être comparées.
- † avec une précision d'environ 5 pm
- (c) le gallium a une structure cristalline anormale
- Écart quadratique moyen de la triple liaison: 3 pm.
Références
- ↑ F. A. Cotton et G. Wilkinson, Advanced Inorganic Chemistry, Wiley, (ISBN 978-0-471-84997-1), p. 1385
- 1 2 3 4 5 6 7 8 9 10 11 12 13 14 15 16 17 18 19 20 21 22 23 24 25 26 27 28 29 30 31 32 33 34 35 36 37 38 39 40 41 42 43 44 45 46 47 48 49 50 51 52 53 54 55 56 57 58 59 60 61 62 63 64 65 66 67 68 69 70 71 72 73 74 75 76 77 78 79 80 81 82 83 84 85 86 J.C. Slater, « Atomic Radii in Crystals », The Journal of Chemical Physics, vol. 41, no 10, , p. 3199–3204 (DOI 10.1063/1.1725697, Bibcode 1964JChPh..41.3199S)
- 1 2 3 4 5 6 7 8 9 10 11 12 13 14 15 16 17 18 19 20 21 22 23 24 25 26 27 28 29 30 31 32 33 34 35 36 37 38 A. Bondi, « van der Waals Volumes and Radii », The Journal of Physical Chemistry, vol. 68, no 3, , p. 441–451 (DOI 10.1021/j100785a001)
- 1 2 3 4 5 6 7 8 9 10 11 12 13 14 15 16 17 18 19 20 21 22 23 24 25 26 27 28 29 30 31 32 33 34 35 36 37 38 39 40 41 42 43 44 Mantina, Chamberlin, Valero et Cramer, « Consistent van der Waals Radii for the Whole Main Group », The Journal of Physical Chemistry A, American Chemical Society (ACS), vol. 113, no 19, , p. 5806–5812 (ISSN 1089-5639, PMID 19382751, PMCID 3658832, DOI 10.1021/jp8111556, Bibcode 2009JPCA..113.5806M)
- 1 2 3 4 5 6 7 8 9 10 11 12 13 14 15 16 17 18 19 20 21 22 23 24 25 26 27 28 29 30 31 32 33 34 35 36 37 38 39 40 41 42 43 44 45 46 47 48 49 50 51 52 53 54 55 56 57 58 59 60 61 62 63 64 65 66 67 68 69 70 71 72 73 74 75 76 77 78 79 80 81 82 83 E. Clementi, D.L.Raimondi et W.P. Reinhardt, « Atomic Screening Constants from SCF Functions. II. Atoms with 37 to 86 Electrons », The Journal of Chemical Physics, vol. 47, no 4, , p. 1300–1307 (DOI 10.1063/1.1712084, Bibcode 1967JChPh..47.1300C)
- 1 2 3 4 5 6 7 8 9 10 11 12 13 14 15 16 17 18 19 20 21 22 23 24 25 26 27 28 29 30 31 32 33 34 35 36 37 38 39 40 41 42 43 44 45 46 47 48 49 50 51 52 53 54 55 56 57 58 59 60 61 62 63 64 65 66 67 68 69 70 71 72 73 74 75 76 77 78 79 80 S. Riedel, P.Pyykkö, M. Patzschke et Patzschke, « Triple-Bond Covalent Radii », Chem. Eur. J., vol. 11, no 12, , p. 3511–3520 (PMID 15832398, DOI 10.1002/chem.200401299)
- ↑ « Empirical Definition & Meaning - Merriam-Webster »
Les données sont telles que citées sur http://www.webelements.com/ à partir de ces sources :
Rayons covalents (liaison simple)
- (en) R.T. Sanderson, Chemical Periodicity, New York, USA, Reinhold,
- (en) Table of interatomic distances and configuration in molecules and ions, London, UK, Chemical Society, , « Supplement 1956–1959, Special publication No. 18 »
- (en) J.E. Huheey, E.A. Keiter et R.L. Keiter, Inorganic Chemistry : Principles of Structure and Reactivity, New York, USA, HarperCollins, (ISBN 0-06-042995-X, lire en ligne
) - (en) W.W. Porterfield, Inorganic chemistry, a unified approach, Reading Massachusetts, USA, Addison Wesley Publishing Co., (ISBN 0-201-05660-7)
- (en) A.M. James et M.P. Lord, Macmillan's Chemical and Physical Data, MacMillan, (ISBN 0-333-51167-0)
Rayon métallique
(en) Norman N. Greenwood et Alan Earnshaw, Chemistry of the Elements, Butterworth-Heinemann (en), , 2e éd. (ISBN 0080379419)
- Portail de la chimie