Signature aveugle

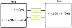
En cryptographie, une signature aveugle, telle que définie par David Chaum[1], est une signature effectuée sur un document qui a été masqué avant d'être signé, afin que le signataire ne puisse prendre connaissance de son contenu. De telles signatures sont donc employées lorsque le signataire et l'auteur du document ne sont pas la même personne. La signature (aveugle) résultante peut être publiquement vérifiée avec le document original (démasqué) comme toute signature numérique. Certains protocoles, dont RSA, permettent même d'annuler directement l'effet du masque sur la signature, avant la vérification.
On compare souvent la signature aveugle au fait de soumettre à la signature une enveloppe fermée contenant un document. Le signataire ne peut donc en lire le contenu, mais un tiers pourra plus tard s'assurer que la signature est valide, dans les limites du respect du protocole.
Les protocoles de vote électronique ou les systèmes de porte-monnaie électronique sont des exemples typique d'utilisation des signatures aveugles.
Notes et références
- ↑ Chaum 1983, p. 199–203.
Annexes
Bibliographie
- (en) David Chaum, « Blind signatures for untraceable payments », Advances in Cryptology Proceedings of Crypto, vol. 82, no 3, (lire en ligne [PDF]).
Articles connexes
- Portail de la cryptologie
- Portail de la sécurité informatique