Suite de l'électrocardiogramme

En mathématiques, la suite de l'électrocardiogramme, ou suite de l'ECG, est une suite d'entiers naturels non nuls, définie par une propriété arithmétique, qui doit son nom au fait que son graphe ressemble à un électrocardiogramme. Elle possède la propriété non évidente à priori de passer par tous les entiers naturels non nuls une fois et une seule.
Définition et premiers termes
La suite de l'ECG débute au nombre 1 et est telle que chaque terme est le plus petit entier strictement positif non encore apparu et ayant un facteur commun >1 avec le terme précédent.
Ses premiers termes sont donc : 1, 2, 4, 6, 3, 9, 12, 8, 10, 5, 15, ..., voir la suite A064413 de l'OEIS.
Historique
Cette suite a été découverte en 2001 par J. Ayres, puis étudiée par C. Lagarias, E. M. Rains et N. J. A. Sloane en 2002[1].
Le mathématicien Pàl Erdös avait déjà étudié les permutations d’entiers soumis à certaines conditions portant sur les valeurs autorisées des PGCD de deux termes consécutifs[2].

Propriétés
Comme indiqué dans l'introduction, cette suite constitue une permutation des entiers strictement positifs[1](une démonstration en français se trouve dans [3]).
Les nombres premiers apparaissent dans l'ordre croissant, et si un nombre premier apparait, il est précédé de et suivi par [4].
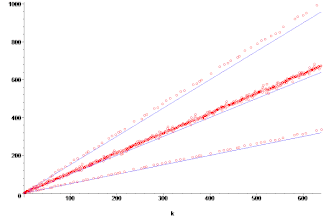
La suite étant notée , on a sauf si est un nombre premier ou le triple d'un nombre premier ; si , alors et si , alors , comme on peut le constater graphiquement[4].
Dans la littérature
La suite de l'électrocardiogramme est le titre d'un recueil de nouvelles de Dominique Veyrier[5].
Notes et références
- 1 2 (en) C. Lagarias, E. M. Rains, N. J. A. Sloane, « The EKG Sequence », ArXiv, (lire en ligne)
- ↑ (en) P. Erdös, R. Freud, N. Hegyvari, « Arithmetical properties of partitions of integers », Acta Math. Acad. Sci. Hungar, vol. 41, , p. 169–176.
- ↑ E. Busser, P. Boulanger, « Tous les entiers représentés », Bibliothèque Tangente, no 41, , p. 115
- 1 2 (en) Piotr Hofman, Marcin Pilipczuk, « Few New Facts about the EKG Sequence », Journal of Integer Sequences, vol. 11, (lire en ligne)
- ↑ Dominique Veyrier, La suite de l'électrocardiogramme, Edilivre-Aparis,
Voir aussi
- Suite d'Euclide-Mullin, dont on conjecture qu'elle constitue une permutation des nombres premiers
- Portail des mathématiques