Synthèse d'indole de Fischer
La synthèse d'indole de Fischer est une réaction découverte en 1883 par Hermann Emil Fischer (prix Nobel en 1902). La synthèse indolique de Fischer consiste à une addition de phénylhydrazine sur une cétone ou aldéhyde en milieu acide.
C'est l'une des plus anciennes techniques de synthèse substitué d'indole. Bien que cette technique ne permette que difficilement de préparer de l'indole, elle est souvent utilisée pour fabriquer des dérivés d'indole substitués aux positions 2 et/ou 3, notamment pour les médicaments antimigraineux de type triptan.

Les réactifs mis en jeu au cours de la réaction sont la phénylhydrazine ainsi qu'un aldéhyde ou une cétone.
Mécanisme de la synthèse de Fischer
Au cours de la première étape du mécanisme, la phénylhydrazine réagit avec l'aldéhyde ou la cétone pour former une phénylhydrazone, qui s'isomérise ensuite pour former l'énamine correspondante. Après protonation, un réarrangement a lieu mettant en jeu une attaque nucléophile. L'amine résultant du réarrangement forme l'indole par catalyse acide avec élimination d'une molécule d'ammoniaque.
Le choix du catalyseur est très important pour obtenir un bon rendement. Les catalyseurs qui peuvent être utilisés sont des acides de Bronsted comme HCl ou H2SO4, ou des acides de Lewis comme le chlorure de zinc ou le chlorure d'aluminium.

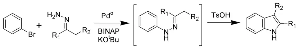
Amélioration de Buchwald
En utilisant du palladium, la synthèse de Fisher de l'indole peut être complète en utilisant des bromures d'aryle comme réactifs de départ.

L'acide méthane sulfonique peut être utilisé comme catalyseur acide de cette réaction.
Indolisation de Fisher des arynes
Le procédé met en réaction une tosylhydrazone avec un précurseur d'aryne pour générer la tosylhydrazone arylée, produit de l'addition. L'addition d'un acide de Lewis (BF3) ou de Brønsted (TsOH) permet la cyclisation.
Références
- Fischer, E.; Jourdan, F. Chemische Berichte 1883, 16, 2241.
- Fischer, E.; Hess, O. Chemische Berichte 1884, 17, 559.
- Portail de la chimie