Thérapie combinée à base d'artémisinine
| Artemisinin-based combination therapy | |
| Informations générales | |
|---|---|
| Princeps | DCI « AMLF » : Coartem, Riamet, Amatem, Lonart DCI « ASAQ » : Coarsucam DCI « ASMQ » : Artequin DCI « ASSP » : Amalar Plus DCI « ASPA » : Pyramax DCI « DHAPQ » : Duo-Cotecxin, Artekin, Eurartesim |
| Classe | thérapie antipaludique |
| Forme | comprimé |
| Administration | Per os |
| Brevet | générique |
| Statut légal | |
| Statut légal | prescription |
| Remboursement | non |
L’Artemisinin-based combination therapy (sigle : ACT), en français thérapie combinée à base d'artémisinine, est une thérapie et une prévention tertiaire dans les cas de paludisme simple. Elle est composée par l'association de deux molécules : une molécule semi-synthétique dérivée de l'artémisinine et une molécule synthétique ayant pour rôle d'augmenter l'effet de la première molécule mais aussi de retarder l'apparition de résistances et, ainsi, de mieux soigner le paludisme.
Depuis la réussite, en 2001, de la phase III des essais cliniques de la première ACT jamais élaborée, elle est devenue le seul traitement médical recommandé par l'Organisation mondiale de la santé pour lutter contre cette maladie.
Historique
L'histoire de l'ACT débute en 1972 par la découverte d'une lactone sesquiterpénique appelée artémisinine. Elle est extraite des feuilles de l'Armoise annuelle et s'avère être une substance active de lutte contre le parasite Plasmodium responsable du paludisme.
Au début des années 1990, avec la constatation de l'aggravation des phénomènes de résistance de Plasmodium envers les médicaments classiques comme la chloroquine, l'amodiaquine, la combinaison sulfadoxine-pyriméthamine (SP) ou, dans une moindre mesure, la méfloquine et la doxycycline, les laboratoires pharmaceutiques commencent à s'intéresser à l'artémisinine.
C'est au KwaZulu-Natal, pendant la saison des pluies 2000-2001 qu'est adoptée, pour la première fois, l'utilisation massive d'une ACT. Ce traitement composé d'artéméther-luméfantrine, connu à l'époque sous le nom de Co-arthemer, ayant permis de réduire de 87,5 % (par rapport à la saison des pluies précédente) le nombre de décès dû au paludisme[1], l'Organisation mondiale de la santé déclare cette artémisinine « le plus grand espoir mondial contre le paludisme ». À la suite du succès de l'opération, l'OMS et le groupe pharmaceutique Novartis concluent un accord selon lequel le laboratoire s'engage non seulement à commercialiser ce Co-arthemer au prix de revient de 0,9 USD pour le traitement des enfants et 2,4 USD pour celui des adultes mais aussi à ne pas déposer de brevet sur la composition. Ce sera la commercialisation du Coartem.
En 2002, l'OMS publie une recommandation claire sur la nécessité d'utiliser l'ACT dans les pays touchés par les résistances aux antipaludiques classiques. Sur l'avis d'experts internationaux, elle recommande l'introduction de polythérapies pour remplacer les monothérapies dans le traitement du paludisme et préconise en particulier le recours à des associations médicamenteuses contenant des dérivés d'artémisinine. En , elle édite une mise à jour de ses recommandations[2].
D'autres initiatives comme la DNDi créée, entre autres, par MSF et l'Institut Pasteur voient le jour pour aboutir à la fabrication, à partir du , par le groupe Sanofi-Aventis de l’ASAQ[3]. La dose fixe coûte moins de 38 centimes d'EUR pour les enfants de moins de 5 ans et moins de 77 centimes d'EUR pour les adolescents et les adultes. Il est commercialisé sous le nom de Coarsucam.
Depuis, de nouvelles thérapies ACT développées, pour la plupart, par des laboratoires chinois mais aussi africains sont arrivées sur le marché. Toutes les combinaisons moléculaires reprises infra sont conformes à la demande de l'OMS c'est-à-dire de traiter les cas de paludisme sans complication dus à des souches de Plasmodium résistantes aux amino-4-quinoléines (chloroquine, hydroxychloroquine, amodiaquine) et d'être des médicaments génériques.
Action thérapeutique

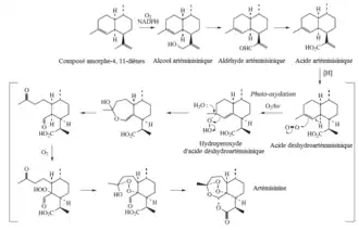
L’artémisinine est obtenue par oxydation de l'acide artémisinique (un composé amorphe) extrait des feuilles de l'Armoise annuelle. C'est une lactone sesquiterpénique portant un groupe fonctionnel avec deux atomes d'oxygène liés par un pont peroxyde qui semble être la clé de son efficacité. Elle bloque une enzyme qui permet au parasite de pomper le calcium et l'empêche ainsi de se développer. Tandis que l'artéméther qui est un peroxyde réduit de l’artémisinine, réagit avec le fer des globules rouges pour créer des radicaux libres qui, à leur tour, détruisent les membranes du parasite ou de certaines cellules cancéreuses et les tuent. À noter cependant que la présence de toute substance protégeant des dommages radicalaires (antioxydant) pourrait contrarier son efficacité.
Pour augmenter son effet, mais aussi retarder l'apparition de résistances, le dérivé bio-synthétique de l'artémisinine est administré en association avec une molécule synthétique : sulfadoxine-pyriméthamine (SP), amodiaquine ou méfloquine. La faible parasitémie résistante au dérivé d'artémisinine est éliminée par le deuxième antipaludique d'action plus durable.
Dans les schémas thérapeutiques avec une prescription d'une ACT pendant trois jours, le dérivé d'artémisinine n'est présent dans l'organisme que durant deux cycles asexués de l'hématozoaire (nom donné à un protozoaire en phase sanguine) (chaque cycle durant deux jours, sauf pour les infestations à Plasmodium malariae, pour lesquelles le cycle dure trois jours). Cette exposition à trois jours de traitement par le dérivé d'artémisinine réduit le nombre de plasmodies (nom donné au protozoaire de Plasmodium) présentes dans l'organisme d'un facteur approximativement égal à cent millions. Toutefois, l'élimination complète des plasmodies repose sur l'efficacité de la SP, de l'AQ ou de la MQ associée, qui doit persister à des concentrations parasiticides jusqu'à ce que tous les hématozoaires infestants aient été tués. Ainsi, ceux-ci doivent être éliminés relativement lentement. Le résultat est que le dérivé d'artémisinine est « protégé » de la résistance par le médicament qui l'accompagne pour autant que ce dernier soit efficace et correctement synthétisé. Ce médicament d'accompagnement est lui-même partiellement « protégé » par le dérivé de l'artémisinine. Les schémas thérapeutiques d'une ACT d'un ou deux jours ne sont pas recommandés ; ils sont moins efficaces et confèrent une protection moindre pour l'antipaludique de synthèse s'éliminant lentement.
Indication
En traitement de première intention (thérapie et prévention tertiaire) du paludisme sans complication due à des souches de Plasmodium résistantes aux amino-4-quinoléines chez les patients capables d'ingérer (pas de vomissements répétés, possibilité de manger/boire/téter, pas de convulsions récurrentes, absence de coma).
Effets latéraux indésirables et contre-indications
Si ni l'artémisinine ni ses dérivés, dans leur forme comprimé (traitement du paludisme simple) n'ont d'autres effets secondaires possibles que des troubles du système digestif, l'administration par injection intraveineuse (traitement du paludisme sévère) peut entrainer dans 10 à 25 % des cas une anémie hémolytique qui apparaitra souvent post-traitement[4].
Avec la luméfantrine :
Avec l'amodiaquine : ceux-ci sont sensiblement les mêmes qu'avec la luméfantrine[5].
Avec la méfloquine :
Avec la pyriméthamine : hypersensibilité allergique, anémie mégaloblastique[6], leucopénie, thrombopénie, glossite, troubles du rythme cardiaque (effet à prendre avec sérieux). L'association avec la sulphadoxine (SP) peut aussi entrainer une hyperphénylalaninémie, un syndrome de Stevens-Johnson ou un syndrome de Lyell.
Avec la pyronaridine : céphalées, vomissements, éosinophilie et augmentation des transaminases hépatiques nécessitant un monitoring[7]
Avec la pipéraquine : troubles du système digestif comme des nausées, des diarrhées, une perte d'appétit, etc. Plus rarement des réactions allergiques comme rash ou un prurit.
Un traitement par une ACT est toujours contre indiqué aux nouveau-nés de moins de neuf mois et aux femmes enceintes chez qui il faut préférer un traitement intermitant par sulphadoxine-pyriméthamine (SP) à partir du deuxième trimestre de grossesse chez les futures mères[8] et en même temps que les vaccinations chez les enfants.
Combinaisons
Ce sont les plus petites monodoses commercialisées qui sont renseignées infra. Ces monodoses sont sécables afin de les adapter à la masse corporelle du malade. Certaines spécialités sont aussi fournies en monodoses plus élevées.
Quoi qu'il en soit, il est de la seule compétence du médecin d'administrer ou non une ACT et, le cas échéant, d'adapter la dose journalière admissible.
Approuvées par l'OMS

- Artéméther-luméfantrine
- Coartem et Riamet produits par Novartis (20 mg AM - 120 mg LF) à partir de 5 kg[c 1],
- Amartem produit par Elbe Pharma Nigeria Limited (20 mg AM - 120 mg LF) à partir de 5 kg[c 2],
- Lonart produit par Bliss Gvs Pharma Limited (20 mg AM - 120 mg LF) à partir de 5 kg[c 3],
- Arenax Plus produit par Swiss Pharma Nigeria Limited (20 mg AM - 120 mg LF) à partir de 5 kg[c 4].
- Artésunate-amodiaquine
- Artésunate-méfloquine
- Artésunate-sulphadoxine-pyriméthamine
- Amalar Plus produit par Elbe Pharma Nigeria Limited (100 mg AS - 200 et 25 mg SP) à partir de 15 kg[c 9].
- Artésunate-pyronaridine
- Pyramax produit par Shin Poong Pharmaceuticals (60 mg AS - 180 mg PA) à partir de 20 kg[c 10].
- Dihydroartémisinine-pipéraquine
En expérimentation
Une combinaison artésunate-chlorproguanil-dapsone est expérimentée par la filiale burkinabè de GlaxoSmithKline[9]. Cependant, le problème rencontré avec cette trithérapie concerne la sulfone antibiotique dapsone. Cette molécule, déjà utilisée en association avec la pyriméthamine en prophylaxie contre les Plasmodium, présente des graves contre-indications pour les personnes ayant un déficit en G6PD (favisme)[10] ou atteinte de drépanocytose ou encore d'une des deux formes de thalassémie car provoquant chez elle une anémie hémolytique pouvant être mortelle.
Faux médicaments
De faux médicaments supposément ACT sont produits en Thaïlande, au Viêt Nam, au Cambodge[11] et en Chine[12]. Ils sont pourtant une cause importante de la mortalité, qui serait pourtant évitable[13]. En , la société pharmaceutique chinoise Holley-Cotec Pharmaceuticals Company a été obligée de retirer vingt mille doses de son médicament à base d'artémisinine Duo-Cotecxim au Kenya parce que des contrefaçons, en provenance d'Asie, contenant très peu d'ingrédients actifs et incapables d'une quelconque thérapie, circulaient sur le marché à un prix cinq fois moindre[14]. Il n'existe pas de moyen simple ni pour les médecins comme pour les patients ni pour les services des douanes de distinguer un vrai médicament d'un faux, sans l'aide d'un laboratoire de biologie médicale local. Les compagnies pharmaceutiques tentent de combattre le trafic de médicaments falsifiés en utilisant de nouvelles technologies, tel le datamatrix, sécurisant le produit de la source à sa distribution.
Monothérapie
Une monothérapie à base d'artémisinine, ou d'un de ses dérivés comme l'artésunate ou l'artéméther ainsi que leur métabolite commun : la dihydroartémisinine, administrée sous forme de suppositoire, comme un Rectocap[note 1] de 200 mg d'artésunate, peut s'avérer particulièrement utile dans les cas de paludisme simple quand les patients sont incapables d'ingérer (vomissements répétés, impossibilité de manger/boire/téter, convulsions récurrentes, absence de réactions à la douleur, coma, absence de réactions psychomotrices) ou quand les présentations injectables ne sont pas disponibles ou qu'elles sont impossibles à administrer[15]. À noter, aussi, que l'utilisation d'une capsule rectale est préférable à une injection intramusculaire (IM) car n'importe qui est capable de l'administrer, il n'y a aucun risque d'infection par l'aiguille et la durée de réponse du produit est plus rapide. Elle est aussi préconisée par injection intraveineuse (IV) en traitement de première intention dans les cas de paludisme sévère.
Notes et références
Notes
- ↑ Un Rectocap est une solution colloïdale enrobée de gélatine pour former un suppositoire résistant aux manipulations et à la chaleur
Références
- ↑ (en) « Update on Malaria in Southern Africa 2003 », sur malaria.org.za, Medical Research council, (consulté le ) : « Voir Malaria transmission, figure no 5 »
- ↑ n.c., Récapitulatif de la politique de l'OMS - mai 2010 : Plan mondial de lutte contre le paludisme, Genève, OMS, coll. « Rapport techniques », , 45 p. (lire en ligne [[PDF]])
- ↑ « L'asaq, le nouveau médicament contre le paludisme », Presse, sur msf.fr, MSF, (consulté le )
- ↑ (en) Thomas Zoller, Thomas Junghanss et al., « Intravenous Artesunate for Severe Malaria in Travelers, Europe », Emerging Infectious Diseases, Atlanta, CDC, vol. 17, no 5, , p. 771-777 (DOI 10.3201/eid1705.101229, lire en ligne [[html]])
- ↑ (en) « Artésunate/amodiaquine : Package leaflet », sur apps.who.int, OMS, (consulté le ) : « Possible side effects », p. 4-5
- ↑ « Anémie mégaloblastique », Dictionnaire médical, sur doctissimo.fr, (consulté le )
- ↑ « Pyramax® (pyronaridine tetraphosphate / artesunate) 180mg/60mg comprimés pelliculés », Flash Info médicaments, sur centres-pharmacovigilance.net, (consulté le ), p. 1
- ↑ Le paludisme chez la femme enceinte, p. 13
- ↑ (en) « Chlorproguanil-Dapsone-Artesunate Versus COARTEM For Uncomplicated Malaria », Clinical trials, sur bioportfolio.com, Bio Portfolio Limited, (consulté le )
- ↑ (en) Caterina I. Fanello, Corine Karema et al., « High Risk of Severe Anaemia after Chlorproguanil-Dapsone + Artesunate Antimalarial Treatment in Patients with G6PD (A-) Deficiency », PLOS ONE, Public Library of Science, vol. 3, , Série 12 (lire en ligne [[PDF]])
- ↑ (en) C.T. Lon, R. Tsuyuoka, S. Phanouvong et al., « Counterfeit and substandard antimalarial drugs in Cambodia », Trans R Soc Trop Med Hyg, vol. 100, , p. 1019-1024
- ↑ (en) Paul Newton, « Counterfeit artesunate », sur essentialdrugs.org, (consulté le )
- ↑ (en) P.N. Newton, M.D. Green et al., « Counterfeit anti-infective drugs », The Lancet Infectious Diseases, Amsterdam, Elsevier, vol. 6, no 9, , p. 602-6013 (ISSN 0140-6736 et 1474-547X)
- ↑ (en) « Malaria drugs recalled in Kenya », World News, Africa, sur news.bbc.co.uk, BBC News, (consulté le )
- ↑ Suppositoires à base d'artémisinine, p. 12
- Informations sur les combinaisons
- ↑ « Riamet », Médicaments, sur sante-az.aufeminin.com, Santé AZ (consulté le )
- ↑ (en) « Amartem », Search, Brand name, sur rxnigeria.com, EMDEX, (consulté le )
- ↑ (en) « Lonart Tablets / Forte Tablets / DS Tablets », Our Products, sur blissgvspharma.com, (consulté le )
- ↑ (en) « Arenax Plus », Product Detail, sur swiphanigeria.com (consulté le )
- ↑ (en) « Artésunate/amodiaquine : Package leaflet », sur apps.who.int, OMS, (consulté le )
- ↑ (en) Fernando de Pilla Varotti, Ana Cristina C. Botelho et al., « Synthesis, Antimalarial Activity, and Intracellular Targets of MEFAS, a New Hybrid Compound Derived from Mefloquine and Artesunate », Antimicrobial Agents and Chemotherapy, Washington DC, Journals ASM, vol. 52 « Antimicrobial Agents and Chemotherapy », no 11, (ISSN 0066-4804 et 1098-6596, lire en ligne [[html]])
- 1 2 F. Smithhuis, et al., « Efficacité de la dihydroartémisinine (DHA)-pipéraquine (PQ) (Artekin®) vs l’artésunate (AS)-méfloquine (MQ) au cours du paludisme à P.falciparum », sur infectiologie.com, (consulté le ), p. 1-2
- ↑ (pt) « Resumo técnico artesunato + mefloquina », sur far.fiocruz.br, Farmanguinhos (consulté le )
- ↑ (en) « Amalar », Search, Brand name, sur rxnigeria.com, EMDEX, (consulté le )
- ↑ (en) « Pyramax », sur ema.europa.eu, EMA, (consulté le )
- ↑ (en) « Duo-Cotecxin », Product Description, sur tootoo.com (consulté le )
- ↑ (en) Harin Karunajeewa, Chiv Lim et al., « Safety evaluation of fixed combination piperaquine plus dihydroartemisinin (Artekin®) in Cambodian children and adults with malaria », British Journal of Clinical Pharmacology, Oxford, Blackwell Publishing, vol. 57, no 1, , p. 93-99 (ISSN 0306-5251, lire en ligne [[html]])
Voir aussi
Bibliographie
- (en) Phan Trong Giao, Artemisinin based combination therapy for malaria in Viet Nam (Mémoire universitaire), Amsterdam, Phan Trong Giao, , 156 p. (ISBN 978-90-90-18480-7, OCLC 66601042)
- n.c., Suppositoires à base d'artémisinine : Rapport d'une consultation informelle de l'OMS des 27 et 28 mars 2006 (Rapport), Genève, OMS, coll. « Programme mondial de lutte antipaludique » (no WHO/HTM/MAL/2006.1118), , 24 p. (ISBN 978-92-4-259560-4, lire en ligne [[PDF]]) — Classification NLM : WC 770
- n.c., Le paludisme chez la femme enceinte : Lignes directrices pour la mesure des indicateurs clés utilisés aux fins du suivi et de l’évaluation, Genève, OMS, , 42 p. (lire en ligne [[PDF]])
- (en) Lee O. Koning et al., Progress in malaria research, New-York, Nova Biomedical Books, , 231 p. (ISBN 978-1-60021-590-2, OCLC 80460954)
- (en) Rashid Ali Khatib, Malaria control dynamics in rural Tanzania : of implementation of artemisinin based anti-malarial combination therapy (Mémoire universitaire), Bâle, Rashid Ali Khatib, , 158 p. (OCLC 730900716)
Articles connexes
Liens externes
- Thérèse Duriez, et al., « Les anti-paludéens », Parasitologie, sur univ-lille2.fr, Laboratoire de parasitologie, Faculté de pharmacie, Lille
- Portail de la médecine
- Portail de la pharmacie
- Portail de la parasitologie