Thujopsène
| Thujopsène | |
| |
| Identification | |
|---|---|
| Nom UICPA | (1aS,4aS,8aS)-2,4a,8,8-Tétraméthyl-1,1a,4,4a,5,6,7,8-octahydrocyclopropa[d]naphthalène |
| Synonymes |
Sesquichamène; Widdrene |
| No CAS | |
| No ECHA | 100.006.753 |
| PubChem | 442402 |
| SMILES | |
| InChI | |
| Propriétés chimiques | |
| Formule | C15H24 [Isomères] |
| Masse molaire[1] | 204,351 1 ± 0,013 7 g/mol C 88,16 %, H 11,84 %, |
| Propriétés physiques | |
| T° ébullition | 258 à 260 °C[2] |
| Masse volumique | 0,936 g cm−3 à 20 °C[2] |
| Unités du SI et CNTP, sauf indication contraire. | |
Le thujopsène est un composé organique, de formule chimique C15H24, donc un sesquiterpène. On le trouve dans l'huile essentielle de nombreux conifères, notamment Juniperus cedrus (où il représente plus de 80 % de l'huile extraite du bois[3]) et Thujopsis dolabrata[4], dont il tire son nom.
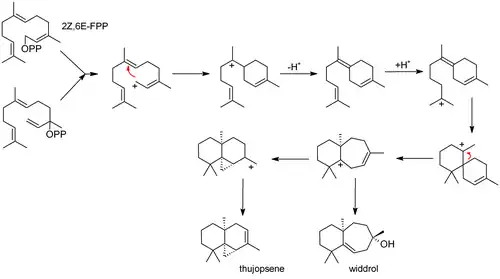
Biosynthèse
Le thujopsène est biosynthétisé à partir du Farnésyl-pyrophosphate, selon la réaction suivante[5] :

Références
- (en) Cet article est partiellement ou en totalité issu de l’article de Wikipédia en anglais intitulé « Thujopsene » (voir la liste des auteurs).
- ↑ Masse molaire calculée d’après « Atomic weights of the elements 2007 », sur www.chem.qmul.ac.uk.
- 1 2 « (−)-Thujopsene 89235 », sur Sigma-Aldrich (consulté le )
- ↑ (en) R. P. Adams, « Cedar Wood Oil — Analyses and Properties », dans Essential Oils and Waxes, Springer, coll. « Modern Methods of Plant Analysis », (ISBN 978-3-642-84023-4, DOI 10.1007/978-3-642-84023-4_8, lire en ligne), p. 159–173
- ↑ Chul-Hee Kim, Taehun Lee, Ikhoon Oh et Kung-Woo Nam, « Mast cell stabilizing effect of (-)-Elema-1,3,11(13)-trien-12-ol and thujopsene from Thujopsis dolabrata is mediated by down-regulation of interleukin-4 secretion in antigen-induced RBL-2H3 cells », Biological & Pharmaceutical Bulletin, vol. 36, no 3, , p. 339–345 (ISSN 1347-5215, PMID 23449323, DOI 10.1248/bpb.b12-00375, lire en ligne, consulté le )
- ↑ (en) Charles Sell et J. Mann, R.S. Davidson, D.V. Banthorpe, J.B. Hobbs et J.B. Harborne, « Natural product : Their chemistry and biological significance », Flavour and Fragrance Journal, vol. 10, no 1, (ISSN 1099-1026, DOI 10.1002/ffj.2730100111, lire en ligne, consulté le )
- Portail de la chimie
