Méthode des variables instrumentales
En statistique et en économétrie, la méthode des variables instrumentales est une méthode permettant d'identifier et d'estimer des relations causales entre des variables. Cette méthode est très souvent utilisée en économétrie.
Modèle de régression linéaire à variables instrumentales
Le modèle de régression linéaire simple fait l'hypothèse que les variables explicatives sont statistiquement indépendantes du terme d'erreur.
Par exemple, si on pose le modèle
avec xi la variable explicative et ui le terme d'erreur, on suppose généralement que xi est exogène, c'est-à-dire que .
Lorsque l'hypothèse d'exogénéité n'est pas vérifiée, les estimateurs standards de β comme l'estimateur des moindres carrés ordinaires sont biaisés et le coefficient β1 ne peut pas être interprété comme l'effet causal de x sur y. On dit alors que la variable explicative xi est endogène.
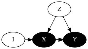
Un instrument ou variable instrumentale est une variable (par exemple zi) telle qu'elle est corrélée à xi mais n'est pas corrélée à ui. Autrement dit, une variation de zi a un effet sur xi mais pas d'effet sur ui. En étudiant les variations de yi et xi liées aux variations de zi, on peut obtenir l'effet causal de x sur y[1].
On a alors un système d'équations :
On peut alors estimer les paramètres de ce système d'équations et obtenir une estimation sans biais du paramètre β1.
Estimation
Il existe de nombreuses méthodes pour estimer un modèle linéaire à variables instrumentales. Parmi ces méthodes, l'estimateur des doubles moindres carrés, la méthode des moments généralisés ou encore l'estimateur de Wald sont souvent employées.
Applications
Notes et références
- ↑ Cameron et Trivedi 2006, p. 35-44
Bibliographie
- (en) Joshua Angrist et Jörn-Stephen Pischke, « Instrumental Variables in Action: Sometimes You Get What You Need », dans Mostly Harmless Econometrics, MIT Press,
- (en) Colin Cameron et Pravin Trivedi, Microeconometrics : Methods And Applications, Cambridge University Press, , 1056 p. (ISBN 978-0-521-84805-3, lire en ligne)
Voir aussi
- Portail de l’économie
- Portail des probabilités et de la statistique
