Vert malachite
| Vert malachite | ||
| ||
| ||
| Structure du vert Malachite | ||
| Identification | ||
|---|---|---|
| Nom UICPA | 4-[(4-diméthylaminophényl)-phényl-méthyl]- N,N-diméthyl-aniline |
|
| Synonymes |
C.I. 42000 |
|
| No CAS | (cation) (HCl) (oxalate) |
|
| No ECHA | 100.008.476 | |
| No CE | 209-322-8 | |
| Apparence | cristaux vert foncé [réf. nécessaire] | |
| Propriétés chimiques | ||
| Formule | C23H25ClN2 [Isomères] (sel) |
|
| Masse molaire[1] | 364,911 ± 0,023 g/mol C 75,7 %, H 6,91 %, Cl 9,72 %, N 7,68 %, |
|
| pKa | pKa1 : 1,3 pKa2 : environ 12,5[réf. nécessaire] |
|
| Unités du SI et CNTP, sauf indication contraire. | ||
Le vert malachite est un composé organique à structure triarylméthane principalement utilisé comme colorant. Il est référencé dans le Colour Index sous le numéro C.I. 42000 est sous la dénomination « C.I. Basic Green 4 »[2].
Son nom fait référence à la malachite, un minéral formé de carbonate de cuivre hydraté d'une belle coloration verte, bien que leurs compositions chimiques n'aient rien de commun.
Propriétés physiques
La solution aqueuse du vert Malachite a un goût légèrement amer.
Une caractéristique intéressante du vert Malachite est sa propriété d'indicateur coloré de pH en chimie (il possède deux zones de virages, une en milieu très acide et une en milieu très basique).
Ce produit qui est toxique teintait les dents quand il était utilisé comme désinfectant buccal. Une solution d'éthanol permettait alors d'enlever cette coloration.
Usages
Le vert malachite est utilisé comme indicateur coloré pour mettre en évidence la présence de sulfites dangereux pour la santé[3].
Il a aussi été employé comme pesticide antiparasitaire, comme fongicide contre les infections fongiques de certains animaux et comme bactéricide pour le traitement d'infections bactériennes (des poissons et des œufs de poisson en pisciculture notamment) et aussi en aquariophilie[4]. Toutefois son usage présente des inconvénients[5].
Risques sanitaires
En 1992 il a été démontré au Canada que ce produit présente un risque sanitaire significatif pour les humains qui ont mangé des poissons contenant du vert de Malachite et le composé a été répertorié en classe II[6].
Cela a été confirmé en 2002 par des études officielles réalisées en Suisse (Service de protection de la consommation à Genève)[7].
Il s'est avéré que la molécule était toxique pour les cellules humaines et qu'il existait une possibilité qu'elle soit la cause de la formation de tumeurs du foie. Cependant, en raison de sa facilité de préparation et du faible coût de sa synthèse, il est encore employé dans certains pays (asiatiques, particulièrement) avec des lois moins restrictives ne concernant pas l'aquaculture.
Contaminant alimentaire
En 2005, des anguilles et d'autres espèces de poissons importés de Chine ont été trouvés à Hong Kong avec des traces de ce produit chimique.
Ce contaminant fait partie des produits interdits en France, recherché via des prélèvements aléatoires de poissons mis sur le marché dans le cadre des plans de surveillance et de contrôle imposés par l'Europe et mis en œuvre par la DGAL. À ces occasions, des cas de contamination sont périodiquement détectés et signalés (exemple : quatre poissons contenaient du vert malachite sur 214 échantillons provenant de poissons élevés en bassin et analysés en 2010 par la DGCCRF, soit 1,87% de cas de non-conformité pour ce type de poissons en 2010[8]). En le bilan 2012 a été publié[9].
Propriétés acido-basiques
Le vert de Malachite est utilisé comme indicateur coloré dans les dosages acido-basiques en chimie. Il possède trois formes différentes caractérisées par différentes couleurs qui permettent de déterminer le pH d'une solution.
| Couleurs du vert de Malachite | forme acide jaune |
zone de virage 1 pH 0.2 à pH 1,8 |
forme classique bleu-vert |
zone de virage 2 pH 11.5 à pH 13.2 |
forme basique incolore |
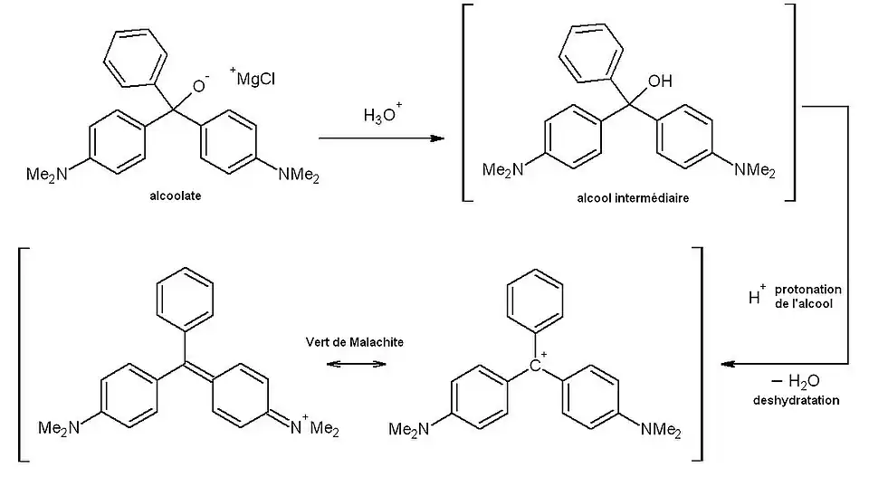
Synthèse du vert de Malachite[10]

L'addition d'un réactif de Grignard (ici le chlorure de phénylmagnésium C6H5MgCl) sur la cétone de Michler (ou 4,4'-bis(diméthylamino)-benzophénone (Me2NPh)2CO) conduit à l'obtention d'un alcoolate tertiaire intermédiaire.

Dans un second temps, une hydrolyse en milieu acide fort (HCl 1N) conduit à l'alcool tertiaire intermédiaire. Ce dernier se déshydrate spontanément au sein du mélange réactionnel formant le carbocation stable, soluble dans de l'eau. Le vert de Malachite est stabilisé par mésomérie.
Divers
- En 1974, le cinéaste français Robert Lamoureux réalise le film Impossible... pas français qui réunit notamment Jean Lefebvre, Pierre Mondy, Pierre Tornade et Michel Creton où il est question d'acheminer, non sans mal, une importante cargaison de malachite vers Le Havre.
Notes et références
- ↑ Masse molaire calculée d’après « Atomic weights of the elements 2007 », sur www.chem.qmul.ac.uk.
- ↑ Society of dyers & colourists (ed.) Colour Index, vol. 4. Bradford & London : Lund Humphries, 3rd ed, 1971, p. 4380. (ISBN 0901956066) Accès libre.
- ↑ « AFSCA - Communiqué de presse : Résultats de l’action de contrôle ciblée : Utilisation de sulfite dans le filet américain », sur www.afsca.be (consulté le )
- ↑ (en) Craig A. Harms, « Treatments for parasitic diseases of aquarium and ornamental fish », Journal of Exotic Pet Medicine, Elsevier, vol. 5, no 2, , p. 54-63 (ISSN 1557-5063, 1931-6283 et 1055-937X, OCLC 65284415, DOI 10.1016/S1055-937X(96)80018-1).
- ↑ (en) E. Zuskova, J. Machova, Z. Svobodova et T. Vesely, « Negative effects of malachite green and possibilities of its replacement in the treatment of fish eggs and fish: a review », Veterinární Medicína, Czech Academy of Agricultural Sciences (d), vol. 52, no 12, , p. 527–539 (ISSN 0375-8427 et 1805-9392, lire en ligne).
- ↑ Agence canadienne d'inspection des aliments - Vert de malachite : questions réponses, sur le site inspection.gc.ca, consulté le 12 juillet 2014
- ↑ [PDF]Service de protection de la consommation - Genève - Résidus de médicaments vétérinaires dans l'alimentation d'origine animale, sur le site geneve.ch, consulté le 12 juillet 2014
- ↑ DGCCRF (ministère de l'agriculture), Bilan 2010 des plans de surveillance et de contrôle mis en œuvre par la DGAL
- ↑ [PDF]Bilan 2012 - Plans de surveillance - Plans de contrôle, sur le site agriculture.gouv.fr, consulté le 12 juillet 2014
- ↑ Sabine Chierici, Fascicules de TP de chimie organique de l'UE CHI232 "Chimie expérimentale", UJF, 2006
Voir aussi
Articles connexes
Liens externes
- Portail de la chimie
- Portail des couleurs

